Asociación entre tiempo de uso de teléfono celular, nivel de actividad física y rendimiento académico en universitarios

Asociación entre tiempo de uso de teléfono celular, nivel de actividad física y rendimiento académico en universitarios

Association between time spent on a cell phone, physical activity level, and academic performance in college students

Como citar: Cigarroa I, Fierro-Villarroel I, Bravo-Leal M, Parra-Acevedo MP, Guzmán Muñoz E, Tapia-Figueroa A, Zapata-Lamana R. Asociación entre tiempo de uso de teléfono celular, nivel de actividad física y rendimiento académico en universitarios. Univ Salud. 2022; 24(2):135-43. DOI: https://doi.org/10.22267/rus.222402.267.

Resumen

Introducción: El aumento del uso de teléfono celular y la baja actividad física en universitarios se han asociado a un bajo rendimiento académico. Objetivo: Analizar la relación entre tiempo de uso del teléfono celular, el nivel de actividad física y rendimiento académico en estudiantes universitarios. Materiales y métodos: Estudio de alcance correlacional y temporalidad longitudinal. Participaron 36 estudiantes universitarios, a quienes se evaluó durante un semestre, el tiempo que destinaron al uso de teléfono celular, a través de la aplicación “Moment” y la actividad física mediante la aplicación “Pacer©”. Se registró el rendimiento académico con el promedio de notas. Resultados: Durante el semestre, los hombres realizaron mayor actividad física y utilizaron por mayor tiempo el teléfono. En periodos de evaluación, las mujeres tuvieron mayor actividad física y menor uso del teléfono celular (p=0,019 y p=0,033, respectivamente). Además, los hombres que tuvieron mejores notas promedio hacían un menor número de pickups diarios (p=0,032). Conclusiones: Los hombres universitarios son físicamente más activos y usan más el celular durante el semestre, aunque en periodo de evaluaciones las mujeres tienden a ser más activas y usar menos tiempo su celular. Los universitarios que usan menos el teléfono celular tienen mejor rendimiento académico.

Palabras clave: Teléfono celular; ejercicio físico; rendimiento académico; estudiantes; correlación de datos; Chile.

Abstract

Introduction: Low academic performance of college students has been associated with an increase in time spent on cell phones and a low physical activity. Objective: To analyze the relationship between time spent on cell phones, physical activity level, and academic performance in college students. Materials and methods: A study with a correlational and longitudinal temporality approach. During a semester, 36 college students were assessed on the time they spent using cell phones and their physical activity levels through the Moment and Pacer© applications, respectively. Academic performance was monitored through report cards. Results: Men engaged in more physical activity and used cell phones more frequently during the analyzed period, while women showed higher physical activity levels and lower cell phone usage during evaluation periods (p=0.019 y p=0.033, respectively). Also, men who had better grade averages showed lower number of daily pickups (p=0.032). Conclusions: College men show higher physical activity levels and longer cell phone usage during the semester, while women tend to be more active and use their cell phones less frequently during evaluation periods. College students who use cell phones less regularly also have a better academic performance.

Keywords: Cell phone; exercise; academic performance; students; correlation of data; Chile.


Introducción

La educación superior busca la formación integral y ética de las personas, orientada al desarrollo del pensamiento autónomo y crítico, que les incentive a participar y aportar activamente en los distintos ámbitos de la vida en sociedad, de acuerdo con sus diversos talentos, intereses y capacidades1.

Sistemáticamente, se ha reportado que los estudiantes universitarios representan una población que se destaca por adquirir malos hábitos de alimentación y estilos de vida de vida poco saludables2-5, debido a su alta carga académica y compromisos específicos de las diferentes asignaturas relacionadas con las carreras universitarias. Esto induce a un menor nivel de actividad física, disminuyendo la práctica de los deportes en tiempo libre, mayor uso de transporte inactivo, largos periodos de tiempo sentado y uso prolongado de pantallas6.

El desempeño y desarrollo del estudiante en el medio universitario se refleja principalmente en su rendimiento académico, el cual puede ser afectado por factores personales, sociales e institucionales7. Uno de los factores institucionales es el uso de tecnología como herramienta para incrementar el apoyo en la formación de los estudiantes, mediante videos, aplicaciones, documentos digitales, entre otros8,9. En esta línea, el teléfono celular, es una herramienta tecnológica conveniente y de gran utilidad para las actividades académicas actuales, aunque puede ser una fuente de distracción dependiendo del patrón de uso del estudiante. En este contexto, se ha evidenciado que su mal uso fuera del establecimiento educacional puede provocar un bajo rendimiento académico10,11. Se ha reportado que el uso incorrecto del teléfono móvil tanto en clases como fuera de estas, podría ser un factor crítico que influye en el rendimiento académico de los estudiantes universitarios, donde las mujeres presentan mayores síntomas de dependencia que los hombres. Estos síntomas se traducen en pérdida de control, ansiedad y baja productividad, lo cual puede impactar en los hábitos, estilos de vida y salud general del estudiante12.

Otro factor que puede influir en el rendimiento académico de los universitarios es la práctica regular de actividad física13-15. Así, la evidencia actual señala la tendencia de que los estudiantes con mayores niveles de actividad física, tienen mejor concentración en los estudios y mejor rendimiento académico que sus compañeros con bajos niveles de actividad física16,17.

Basado en lo anterior, se ha propuesto como objetivo del estudio analizar la relación entre tiempo de uso del teléfono celular, nivel de actividad física y rendimiento académico en estudiantes universitarios.


Materiales y métodos

Estudio de tipo correlacional con diseño observacional y longitudinal. Se invitó a participar a estudiantes de una universidad privada de la región del Biobío, pertenecientes a la carrera de Kinesiología que tuvieran y utilizaran habitualmente un teléfono móvil. La muestra fue no probabilística por conveniencia y se utilizó un muestreo de voluntarios. Inicialmente accedieron a participar 80 estudiantes. Se excluyeron a los estudiantes que utilizaban un sistema operativo no compatible con las aplicaciones que se utilizaron para registrar las variables de interés (Moment es sólo para iOS a través app store y para Andriod por google Play), con insuficiente espacio de almacenamiento (memoria RAM) en sus teléfonos móviles o que no tenían habitualmente plan de datos móviles (n=44). Finalmente, la muestra quedó conformada por 36 estudiantes universitarios. Se utilizaron las aplicaciones móviles Pacer© (Pacer health Inc) para registrar el nivel de actividad física y Moment© (Burlingame, CA) para registrar el tiempo de uso de teléfono celular de los universitarios durante trece semanas del primer semestre de clases del 2019. Adicionalmente, se registró el promedio de notas del mismo semestre y variables de caracterización de los universitarios.

Nivel de Actividad física

Para el registro del nivel de actividad física, se utilizó la aplicación Pacer© (Pacer health Inc). Esta aplicación fue desarrollada el 2017 con el objetivo de ayudar a las personas de todos los niveles de actividad a ser más activos y saludables. Permite medir el nivel de actividad a través de cuatro indicadores: a) el tiempo activo diario (minutos), b) pasos diarios (número), c) calorías diarias (kcal) y d) distancia diaria recorrida (km)18.

Tiempo de uso de teléfono celular

Se valoró a través de la aplicación Moment© (Burlingame, CA). Esta aplicación fue desarrollada para ayudar a usar el teléfono móvil de manera más saludable, mediante ejercicios cortos y diarios proporcionados por un coach que entrega la aplicación. Esta aplicación permite registrar el tiempo de uso del teléfono móvil, a través de tres indicadores: a) porcentaje de vida despierto que se usa teléfono celular (%), se comienza con un porcentaje de 100% y a medida que se utiliza el teléfono celular durante el día, el porcentaje va disminuyendo, b) los pickups diarios (número) que corresponde a la cantidad de veces que se utiliza el teléfono celular, incluyendo la visualización de la pantalla de bloqueo) y c) el tiempo de uso diario de teléfono celular (minutos), que corresponde al tiempo promedio del uso del teléfono celular19.

Rendimiento académico

Esta variable fue medida a través del promedio de notas que los universitarios obtuvieron durante el semestre académico que se registró el nivel de actividad física y el tiempo de uso del teléfono celular. Las calificaciones fueron consideradas en un rango de 1,0-7,0, donde una nota de 4,0 se considera aprobatoria. Además, se dividió el semestre académico en las semanas en las cuales los universitarios tuvieron y no tuvieron evaluaciones académicas en las diferentes asignaturas que cursaron.

Adicionalmente, se registraron variables sociodemográficas tales como nombre, curso, edad, género, lugar de residencia.

Análisis estadístico

Se utilizó el software estadístico SPSS (SPSS 25.0, SPSS Inc., IL, EE.UU.) para el análisis de los datos. Los datos de caracterización del estudio fueron presentados como frecuencia y porcentaje, para las variables cualitativas y como media y desviación estándar para variables cuantitativas. Para determinar la distribución normal de los datos se utilizó la prueba de Shapiro-Wilk. Para la comparación de las variables entre hombres y mujeres se utilizó la prueba T de muestras independientes, mientras que para la comparación entre semanas con y sin evaluaciones académicas se utilizó la prueba T de muestras relacionadas. Para determinar relación entre variables categóricas se utilizó la prueba de chi-cuadrado. Adicionalmente, se utilizó la prueba estadística de coeficiente de correlación de Pearson para establecer la relación entre variables cuantitativas. Se consideró significancia estadística un valor p<0,05.

Consideraciones éticas

La investigación se adscribió a la Declaración de Helsinki y su actualización en Fortaleza, Brasil 2013 y fue revisada y aprobada por el Comité de Ética Científico (CEC) de la Universidad Santo Tomás (código de aprobación número 85-19). Todos los universitarios firmaron un consentimiento informado previo a su participación.


Resultados

En la Tabla 1 se observan las características de los participantes. La media de edad de la muestra fue de 22,1±3,4. El 81,8% de los hombres reportaron que realizaban actividad física habitualmente, mientras que el 20% de las mujeres mayormente indicaron que no realizan actividad física o deporte de manera regular. Con respecto a las horas de sueño, los hombres indicaron dormir una mayor cantidad de horas diarias que las mujeres (t=2,663; p=0,012). En relación con variables medidas con la aplicación Pacer, se observó que los hombres quemaron mayor cantidad de calorías y recorrieron mayor distancia diaria en comparación con las mujeres (t=2,995; p=0,011; t=2,141; p=0,039, respectivamente). En cuanto a las variables registradas con la aplicación Moment, se evidenció que los hombres pasaban diariamente un mayor porcentaje de vida despiertos usando el teléfono celular que las mujeres (t=2,305; p=0,027). Adicionalmente, el promedio de notas semestral de los universitarios fue de 5,1 (Tabla 1).

Tabla 1. Descripción de la muestra. los datos cuantitativos fueron presentados en promedio y desviación estándar y los cualitativos en frecuencia absoluta y porcentual
Variables Hombre Mujer Total
Edad (años) 22,9±2,7 21,8±3,7 22,1±3,4
Lugar de residencia, n (%)
Urbano 10(90,9) 20(80) 30(83,3)
Rural 1(9,1) 5(20) 6(16,7)
¿Realizas actividad física o deporte? N (%)
Si 9(81,8)* 5(20) 14(38,9)
No 2(18,2) 20(80) 22(61,1)
¿Crees que realizas suficiente Actividad física o Deporte? n (%)
Si 5(45,5)* 3(12,0) 8(22,2)
No 6(54,6) 22(88,0) 28(77,8)
Horas de sueño (h) 7,45±0,82* 6,72±0,7 6,94±0,826
Pacer
Pasos (n°) 6216,3±1377,2 5588,7±1746,6 5780,4±1649,2
Calorías (kcal) 341,2±158,0* 192,5±70,2 238,0±123,8
Distancia recorrida (km) 4,39±1,24* 3,53±1,04 3,8±1,16
Tiempo activo (min) 64,6±45,2 53,8±18,6 57,1±29,1
Moment
Tiempo de vida despierto que se usa teléfono celular (%) 42,69±6,80* 35,01±10,05 37,35±9,76
Pickups (n°) 74,2±49,8 71,5±22,9 72,3±32,7
Tiempo de uso diario (min) 293,8±121,5 269,2±107,3 276,7±110,6
Promedio de notas semestral (10-7,0) 5,0±0,6 5,2±0,4 5,1±0,5
  1. Para establecer diferencias entre las variables cuantitativas se utilizó una prueba T de muestras independientes y para determinar relación entre variables cualitativas se utilizó la prueba de chi-cuadrado.
  2. Se consideró un valor p>0,05, n=36.

Para establecer diferencias entre las variables cuantitativas se utilizó una prueba T de muestras independientes y para determinar relación entre variables cualitativas se utilizó la prueba de chi-cuadrado. Se consideró un valor p>0,05, n=36.

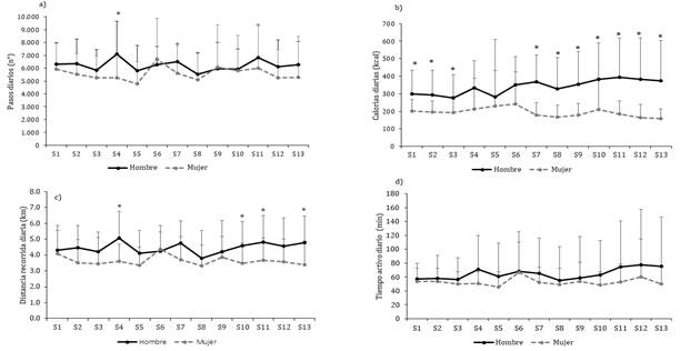
Con respecto al comportamiento de las variables durante el semestre académico medidas con la aplicación Pacer, se observó que los hombres caminaron significativamente una mayor cantidad de pasos diarios que las mujeres, en la semana 4 (t= 2,674; p= 0,011). Además, recorrieron una mayor cantidad de kilómetros diarios en las semanas 4 (t= 3,070; p=0,004), 10 (t=2,287; p=0,029), 11 (t =2,138; p=0,040) y 13 (t=2,459; p=0,019) y quemaron más calorías que las mujeres en las semanas 1(t=2,237; p=0,045) , 2 (t=2,241; p=0,045), 3 (t=2,180; p=0,036), 7 (t=3,896; p=0,002), 8 (t=2,881; p=0,014), 9 (t=2,968; p=0,013), 10 (t=2,542; p=0,016), 11 (t=3,046; p=0,011), 12 (t=2,968; p=0,013) y 13 (t=3,109; p=0,010) (Figura 1).

Figura 1. Nivel de actividad física (Pacer) durante las semanas del semestre en hombres y mujeres
a) Pasos diarios (n°), b) Calorías diarias (Kcal). c) Distancia recorrida diaria (km). d) Tiempo de actividad física diario (min). Para establecer diferencias significativas cada semana entre hombres y mujeres se utilizó una prueba T de muestras independientes. * Se consideró con un valor p>0,05. n=36.
Figura 1

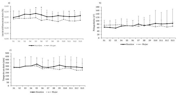
En relación con los indicadores de uso del celular durante el semestre académico medidas con la aplicación Moment, se pudo evidenciar que los hombres pasaron diariamente un mayor porcentaje de vida despiertos usando el teléfono celular que las mujeres en las semanas 4 (t=2,219; p=0,035), 5 (t=2,728; p=0,010), 11 (t=2,053; p=0,048) y 12 (t=2,614; p=0,014). No se evidenciaron diferencias entre hombres y mujeres en la cantidad de pickup y en el tiempo de uso diario del teléfono celular (Figura 2).

Figura 2. Tiempo de uso de teléfono móvil (Moment) durante las semanas del semestre en hombres y mujeres
a) porcentaje de vida despierto que se usa teléfono celular (%); b) Pickups diarios (número); c) Tiempo de uso diario (minutos). Para establecer diferencias significativas en cada semana entre hombres y mujeres se utilizó una prueba T de muestras independientes. * Se consideró con un valor p>0,05. n=36.
Figura 2

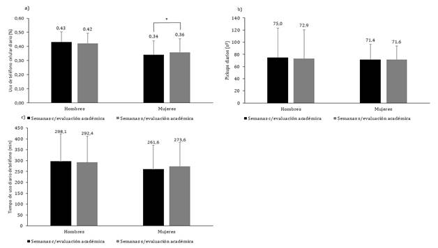
Cuando se compararon los indicadores de actividad física medidos con la aplicación Pacer entre las semanas con y sin evaluaciones académicas, se evidenció que las mujeres aumentaron la cantidad de pasos y kilómetros recorridos diariamente en las semanas que tenían evaluaciones académicas en comparación con las semanas que no tenían (t=1,998; p=0,057; t=2,515; p=0,019, respectivamente). En los hombres no se observaron diferencias significativas en las variables asociadas al uso del teléfono celular entre las semanas con y sin evaluaciones académicas (Figura 3).

Figura 3. Nivel de actividad física (Pacer) en semanas con y sin evaluaciones académicos en hombres y mujeres
a) Pasos diarios (n°), b) Calorías diarias (Kcal). c) Distancia recorrida diaria (km). d) Tiempo de actividad física diario (min). Para establecer diferencias significativas entre las semanas con y sin evaluaciones académicas, tanto para hombres como para mujeres se utilizó una prueba T de muestras relacionadas. * Se consideró con un valor p>0,05. n=36.
Figura 3

Al comparar las variables asociadas al uso del teléfono celular medidas con la aplicación Moment entre las semanas con y sin evaluaciones académicas, se observó que las mujeres pasaban diariamente un menor porcentaje de su vida despiertas usando el teléfono celular durante las semanas con evaluaciones académicas con respecto a las semanas sin evaluaciones (t=-2,267; p=0,033). No se encontraron diferencias significativas en la cantidad de pickups diarios ni en el tiempo de uso diario de teléfono celular en hombres y mujeres entre las semanas con y sin evaluaciones académicas (Figura 4).

Figura 4. Tiempo de uso de teléfono móvil (Moment) en semanas con y sin evaluaciones académicos en hombres y mujeres
a) porcentaje de vida despierto que se usa teléfono celular (%); b) Pickups diarios (número); c) Tiempo de uso diario (minutos). Para establecer diferencias significativas entre las semanas con pruebas y las semanas sin pruebas, tanto para hombres como para mujeres se utilizó una prueba T de muestras relacionadas. * Se consideró con un valor p>0,005. n=36.
Figura 4

Adicionalmente, cuando se hizo un análisis de correlación lineal con el coeficiente de correlación de Pearson se observó que los hombres que tuvieron mejores notas promedio en el semestre presentaban una menor cantidad de pickups medidos con la aplicación Moment (r=-0,0645; p=0,032).


Discusión

Este estudio permitió conocer el uso de teléfono celular, nivel de actividad física y su relación con el rendimiento académico de universitarios. Los resultados evidenciaron que durante un semestre académico, los hombres son físicamente más activos y utilizan diariamente más tiempo el teléfono celular respecto a las mujeres. Cuando se comparó el nivel de actividad física y uso de celular en periodos con y sin evaluación académica se observó que las mujeres tienen mayor participación en la actividad física y usan menos sus teléfonos celulares durante las semanas que tenían evaluaciones. Adicionalmente, se evidenció que los hombres que tuvieron mejores notas en el semestre reportaron un menor número de pickups diarios.

En relación con los hallazgos encontrados en este estudio respecto a que los universitarios hombres son más activos que las mujeres, existe consenso en la literatura universitaria que indica que estos son más activos20,21, realizan más tiempo de actividad física diaria22, realizan más actividades deportivas23 y tienen mejor condición física24. Estos resultados se relacionan con estudios que indican que las mujeres universitarias se perciben con otros intereses25 o más desmotivación para realizar actividad física que los hombres26.

En cuanto a los hábitos de uso del teléfono celular, el presente estudio dio a conocer que los hombres lo utilizan por mayor tiempo en relación con las mujeres durante el semestre académico. Al respecto, los resultados en la literatura no son concluyentes, por un lado existe evidencia que indica que las mujeres usan más el teléfono celular27,28, además por tiempos más prolongados29 y tienen mayor dependencia a estos aparatos28,30, lo que podría, en parte, estar explicado por los sentimientos de soledad y aburrimiento que experimentan las mujeres, y que intentan apaciguar contactando con amigos que no están presentes físicamente o son de otras ciudades o países30. Por otro parte, hay investigaciones que señalan que son los hombres quienes utilizan más tiempo el teléfono móvil31, en este caso con un fin instrumental, a diferencia de las mujeres, quienes le otorgan un uso más emo-cional y social29.

Adicionalmente, se observó que las mujeres presentaron un mayor promedio de notas y al mismo tiempo utilizaron por menor cantidad de tiempo el teléfono celular en fases de evaluaciones académicas que los hombres. Estos resultados se asemejan a los descritos por un reciente estudio que indicaron que, aunque las mujeres realizaron un mayor uso del celular no les impidió obtener mejores calificaciones que los varones32. Por otra parte, se concluyó que las mujeres presentan un nivel de actividad física mayor en periodos de evaluaciones. Esto se podría explicar debido a que, existen reportes que indican que las mujeres prefieren en mayor medida estrategias de estudio colaborativas y grupos de estudio. Se ha observado que pueden presentar niveles de estrés y ansiedad más altos que los hombres en las etapas de evaluación y buscan desplazarse para obtener apoyo social en su grupo de estudio33.

Con respecto a la relación inversa entre la cantidad de pickups y notas promedio encontrado en este estudio, la literatura internacional es concluyente sobre el efecto negativo del uso del celular en el rendimiento académico de los universitarios34,35. A modo de ejemplo, en un reciente estudio que evaluó el uso de teléfono celular con las aplicaciones móviles Moment y App Usage Tracker concluyeron que es más probable que un estudiante que usa menos su teléfono celular tenga un promedio académico más alto que quien lo utiliza con más frecuencia. Además, reportaron que cada 10 minutos adicionales de uso de teléfono celular por día se relacionó con una reducción en el promedio académico final del semestre de los estudiantes en 0,63 puntos en una escala de 1 al 10036. Por otro lado, aunque el presente estudio no encontró relación entre el nivel de actividad física y el rendimiento académico, existe evidencia que indica que la actividad física se asocia positivamente en el rendimiento académico de los estudiantes universitarios16.

El presente estudio es el primero en Chile en relacionar las variables de uso de teléfono celular, nivel de actividad física con el rendimiento académico en universitarios utilizando aplicaciones móviles para su medición, lo cual abre una línea de investigación en el uso de aplicaciones móviles gratis, de fácil acceso y uso para realizar seguimientos en parámetros asociados a la salud de los universitarios.

Limitaciones y recomendaciones

El tamaño de la muestra y el diseño de estudio sólo permite conocer variables que están asociadas al rendimiento académico y no explicar las causas de este. Además, no se consideró en el análisis otras variables que pudieran afectar el rendimiento académico en estudiantes universitarios; algunas ya estudiadas por la literatura, como el nivel educativo de los padres, rol parental o apoyo del centro educativo37 y otras que, al igual que el tiempo de pantalla y nivel de actividad física, son consideradas dianas actuales de interés científico, como por ejemplo hábitos de sueño38, alimentación39 y peso corporal40. Estudios posteriores deberán profundizar en la asociación encontrada, en una población más amplia y analizando otros factores poco estudiados que incidan en el rendimiento universitario.


Conclusiones

Durante el semestre académico los universitarios hombres son físicamente más activos y utilizan por más tiempo el teléfono celular. Contrariamente, en periodo de evaluaciones, las mujeres tienen más actividad física y usan menos sus teléfonos celulares que los hombres. Además, se observó que los universitarios hombres que hacían menos cantidad de pickups en sus celulares tuvieron mejores notas en el semestre. Este estudio puede aportar valiosa información en la discusión sobre el uso de las aplicaciones móviles para el registro y monitorización de parámetros de salud en la población y cómo esta información puede ser utilizada para conocer predictores de mal rendimiento académico en universitarios.


Agradecimientos

A los estudiantes universitarios que participaron voluntariamente en este estudio.


Referencias

  1. Ministerio de Educación de Chile. Ley-21091 Sobre Educación Superior [Internet]. 2018 [citado 2020 Jul 25]. Disponible en: https://www.leychile.cl/Navegar?idNorma=1118991&r=1
  2. Morales G, Guillen-Grima F, Muñoz S, Belmar C, Schifferli I, Muñoz A, et al. Cardiovascular risk factors among first and third year university students. Rev Med Chil [Internet]. 2017; 145(3):299-308. DOI: 10.4067/S0034-98872017000300003.
  3. Rodríguez-Rodríguez F, Cristi-Montero C, Villa-González E, Solís-Urra P, Chillón P. Comparación de los niveles de actividad física durante la vida universitaria. Rev Med Chil [Internet]. 2018; 146(4):442-50. DOI: 10.4067/s0034-98872018000400442.
  4. Durán S, Crovetto M, Espinoza V, Mena F, Oñate G, Fernández M, et al. Caracterización del estado nutricional, hábitos alimentarios y estilos de vida de estudiantes universitarios Chilenos: Estudio multicéntrico. Rev Med Chil [Internet]. 2017; 145(11):1403-11. DOI: 10.4067/s0034-98872017001101403.
  5. Alaraj MM, Kayal HW, Banoqitah E. An Analysis Into University Students ' Bad Lifestyle habits and their effect on academic achievement. JASSH [Internet]. 2018; 4(12):430-41. Disponible en: https://jassh.info/index.php/jassh/article/view/376
  6. Rodriguez Rodriguez F, Santibañez Miranda M, Montupin Rozas G, Chávez Ramírez F, Solis Urra P. Diferencias en la composición corporal y actividad física en estudiantes universitarios según año de ingreso. Univ Salud [Internet]. 2016; 18(3):474-81. DOI: 10.15520/jassh412376.
  7. Gallegos JA, Campos NA. Determinantes del rendimiento académico estudiantil: Caso Universidad Católica de la Santísima Concepción. Rev Ciencias Soc [Internet]. 2019; 25(2):163-77. DOI: 10.31876/rcs.v25i2.32654.
  8. Vega-Hernández MC, Patino-Alonso MC, Galindo-Villardón MP. Multivariate characterization of university students using the ICT for learning. Comput Educ [Internet]. 2018; 121:124-30. DOI: 10.1016/j.compedu.2018.03.004.
  9. Henderson M, Selwyn N, Aston R. What works and why? Student perceptions of 'useful' digital technology in university teaching and learning. Stud High Educ [Internet]. 2017; 42(8):1567-79. DOI: 10.1080/03075079.2015.1007946.
  10. Grewal N, Bajaj JK, Sood M. Impact of Mobile Phone usage on Academic Performance and Behaviour of Medical Students. Int J Med Dent Sci [Internet]. 2020; 9(1):1841-5. DOI: 10.18311/ijmds/2020/24477.
  11. Herrera Sánchez B, Aquilea G, Irizar D. El uso de los teléfonos móviles, las aplicaciones y su rendimiento académico en los alumnos de la DES DACI. Rev Iberoam para la Investig y el Desarro Educ [Internet]. 2014; 12:1-18. Disponible en: https://1-11.ride.org.mx/index.php/RIDESECUNDARIO/article/view/719/702
  12. Lin TTC, Chiang YH. Investigating predictors of smartphone dependency symptoms and effects on academic performance, improper phone use and perceived sociability. Int J Mob Commun [Internet]. 2017; 15(6):655-76. DOI: 10.1504/IJMC.2017.10005647.
  13. Chung QE, Abdulrahman SA, Jamal Khan MK, Jahubar Sathik HB, Rashid A. The relationship between levels of physical activity and academic achievement among medical and health sciences students at cyberjaya university college of medical sciences. Malays J Med Sci [Internet]. 2018; 25(5):88-102. DOI: 10.21315/mjms2018.25.5.9.
  14. Alghadir AH, Gabr SA, Iqbal ZA, Al-Eisa E. Association of physical activity, vitamin E levels, and total antioxidant capacity with academic performance and executive functions of adolescents. BMC Pediatr [Internet]. 2019; 19(1):156. DOI: 10.1186/s12887-019-1528-1.
  15. Cumillaf AG, Badilla PV, Herrera CF, Mora FC, Herrera BM, Sandoval EM, et al. Association between fitness, nutritional status and academic performance in physical education students. Nutr Hosp [Internet]. 2015; 32(4):1722-8. DOI: 10.3305/nh.2015.32.4.9592.
  16. Mediavilla M, Guillermo H, Arcos A, Jarrín A. La actividad física y el rendimiento académico en estudiantes universitarios Physical activity and academic performance in university students. Rev Kill Soc [Internet]. 2018; 2(4):97-102. DOI: 10.26871/killkana_social.v2i4.214.
  17. Nayak SB, Miranda SA, Bin Fitzrol OJ, Anthony L, Rao GS, Aithal AP. The impact of physical activities on the academic performance of medical students. J Heal Allied Sci [Internet]. 2016; 15(2):4. Disponible en: https://www.ojhas.org/issue58/2016-2-4.html
  18. Pacer: Pedometer & Fitness App - Simple Fitness and Weight Loss [Internet]. [citado 2020 Jul 26]. Disponible en: https://www.mypacer.com/
  19. Moment: less phone. More real life [Internet]. [citado 2020 Jul 26]. Disponible en: https://inthemoment.io/
  20. Rubio RF, Varela MT. Barreras percibidas en jóvenes universitarios para realizar actividad física. Rev Cuba Salud Publica. 2016; 42(1):61-9. Disponible en: http://scielo.sld.cu/pdf/rcsp/v42n1/spu07116.pdf
  21. Rangel Caballero LG, Rojas Sánchez LZ, Gamboa Delgado EM. Actividad física y composición corporal en estudiantes universitarios de cultura física, deporte y recreación. Rev la Univ Ind Santander Salud [Internet]. 2015; 47(3):281-90. DOI: 10.18273/revsal.v47n3-2015004.
  22. Práxedes A, Sevil J, Moreno A, Del Villar F, García González L. Niveles de actividad física en estudiantes universitarios: diferencias en función del género, la edad y los estados de cambio. Rev Iberoam Psicol del Ejerc y el Deport [Internet]. 2016; 11(1):123-32. Disponible en: https://www.redalyc.org/articulo.oa?id=311143051014
  23. Díaz-Cabrera JÁ, Carmona-Álamos L, García-Tascón M. Análisis de La Práctica Deportiva de Alumnos de La Universidad Pablo de Olavide, Sevilla (España) en Función del Género. Pod Sport Leis Tour Rev [Internet]. 2017; 6(3):83-99. Disponible en: https://dialnet.unirioja.es/servlet/articulo?codigo=6138710
  24. Chacón-Cuberos R, Zurita-Ortega F, Ubago-Jiménez JL, González-Valero G, Sánchez-Zafra M. Condición física, dieta y ocio digital según práctica de actividad física en estudiantes universitarios de Granada. Sport TK-Revista Euroam Ciencias del Deport [Internet]. 2018; 7(2):7-12. DOI: 10.6018/sportk.343121.
  25. Lee S, Kim MW, McDonough IM, Mendoza JS, Kim MS. The Effects of Cell Phone Use and Emotion-regulation Style on College Students' Learning. Appl Cogn Psychol [Internet]. 2017; 31(3):360-6. DOI: 10.1002/acp.3323.
  26. Serna VH, Vélez E, Feito Y. Actividad física y percepciones de beneficios y barreras en una universidad colombiana. Retos [Internet]. 2016; 2041(30):15-9. DOI: 10.47197/RETOS.V0I30.35175.
  27. Carbonell X, Chamarro A, Oberst U, Rodrigo B, Prades M. Problematic use of the internet and smartphones in university students: 2006-2017. Int J Environ Res Public Health [Internet]. 2018; 15(3):475. DOI: 10.3390/ijerph15030475.
  28. Sánchez-Guette L, Herazo-Beltrán Y, Galeano-Muñoz L, Romero-Leiva K, Guerrero-Correa F, Mancilla-González G, et al. Comportamiento sedentario en estudiantes universitarios. Rev Latinoam Hipertens [Internet]. 2019; 14(4):6-10. Disponible en: https://www.revhipertension.com/rlh_4_2019/4_comportamiento_sedentario.pdf
  29. Díaz VM, Gea EV, Begoña ESR. Problematic use of the smartphone by university students. Rev Esp Drog [Internet]. 2018; 43(1):62-76. Disponible en: https://www.aesed.com/upload/files/v43n1_orig4.pdf
  30. Ruiz Palmero J, Sánchez Rodríguez J, Trujillo Torres J. Utilización de Internet y dependencia a teléfonos móviles en adolescentes. Rev Latinoam Ciencias Soc Niñez y Juv [Internet]. 2016; 14(2):1357-69. DOI: 10.11600/1692715x.14232080715.
  31. Villafuerte-Garzón CM, Vera-Perea M. Phubbing y género en un sector académico en Quito: Uso, abuso e interferencia de la tecnología. Converg Rev Ciencias Soc [Internet]. 2018; (79):1-19. DOI: 10.29101/crcs.v0i79.9156.
  32. Hilt JA. Dependencia del celular, hábitos y actitudes hacia la lectura y su relación con el rendimiento académico. Apunt Univ [Internet]. 2019 Oct 9; 9(3):85-91. Disponible en: https://www.redalyc.org/journal/4676/467663401007/467663401007.pdf
  33. Cabanach RG, Fariña F, Freire C, González P. Diferencias en el afrontamiento del estrés en estudiantes universitarios hombres y mujeres. Eur j educ psychol [Internet]. 2013; 6:19-32. Disponible en: https://www.redalyc.org/pdf/1293/129327497002.pdf
  34. Lepp A, Barkley JE, Karpinski AC. The relationship between cell phone use and academic performance in a sample of U.S. college students. SAGE Open [Internet]. 2015; 5(1):1-9. DOI: 10.1177/2158244015573169.
  35. Qaisar S, Akhter N, Masood A, Rashid S. Problematic Mobile Phone Use, Academic Procrastination and Academic Performance of College Students. J Educ Res [Internet]. 2017; 20(2):201-14. Disponible en: https://jer.iub.edu.pk/journals/JER-Vol-20.No-2/15_Problematic_Mobile_Phone_Use,_Academic_Procrastination_and_Academic_Performance_of_College_Students.pdf
  36. Felisoni DD, Godoi AS. Cell phone usage and academic performance: An experiment. Comput Educ [Internet]. 2018; 117:175-87. DOI: 10.1016/j.compedu.2017.10.006.
  37. Molina Estévez M. Valoración de los criterios referentes al rendimiento académico y variables que lo puedan afectar. Rev Méd Electrón [Internet]. 2015; 37(6):617-26. Disponible en: https://scielo.sld.cu/scielo.php?script=sci_arttext&pid=S1684-18242015000600007
  38. Puerto M, Rivero D, Sansores L, Gamboa L, Sarabia L. Somnolencia, hábitos de sueño y uso de redes sociales en estudiantes universitarios. Enseñanza e Investigación en Psicología [Internet]. 2015; 20(2):189-95. Disponible en: https://www.redalyc.org/pdf/292/29242799009.pdf
  39. Wang L, Qin P, Zhao Y, Duan S, Zhang Q, Liu Y, et al. Prevalence and risk factors of poor sleep quality among Inner Mongolia Medical University students: A cross-sectional survey. Psychiatry Res [Internet]. 2016; 244:243-8. DOI: 10.1016/j.psychres.2016.04.011.
  40. Anderson AS, Good DJ. Increased body weight affects academic performance in university students. Prev Med Reports [Internet]. 2017; 5:220-3. DOI: 10.1016/j.pmedr.2016.12.020.