https://doi.org/10.22267/rtend.262701.289

Research Article
Economy

 

Influence of the degree of economic freedom on labor productivity in Latin America

Influencia del grado de libertad económica sobre la productividad laboral de América Latina

Influência do grau de liberdade econômica na produtividade do trabalho na América Latina

 

By: Juan Celestino León Mendoza 1

 

1 Ph.D. in Administrative Sciences, Nacional Mayor de San Marcos, Perú. Professor, Department of Economics, National Universidad del Callao. ORCID: 0000-0002-6956-5339. E-mail: jcleonm@unac.edu.pe, Lima - Perú.

 

Received: June 21, 2025                              Accepted: October 6, 2025

DOI: https://doi.org/10.22267/rtend.262701.289

How to cite this article: León, J. (2026). Influence of the degree of economic freedom on labor productivity in Latin America. Tendencias, 27(1), 122-147. https://doi.org/10.22267/rtend.262701.289


 

Abstract

Introduction: Latin American countries exhibit considerable heterogeneity in terms of labor productivity levels and the degree of economic freedom. Objective: To analyze the influence of economic freedom on labor productivity in Latin American countries. Methodology: Panel data from 20 countries covering the period 2014 - 2023 were used, applying clustered ordinary least squares, fixed and random effects models. Results: Economic freedom has a positive effect on labor productivity. The countries with the highest levels of productivity are those with the highest degree of economic freedom. Key indicators include property rights, control of corruption, public spending, fiscal health, entrepreneurial freedom and monetary independence. Discussion: A greater degree of economic freedom fosters labor productivity, although the relationship varies between countries. The interaction with other factors such as educational quality and infrastructure also influences the results. Although economic freedom is key, other complementary elements must be considered for a more significant impact. Conclusions: Economic freedom is crucial to increase labor productivity. Economic policies should focus on creating a favorable environment for investment and innovation.

Keywords: capital; market economy; labor economics; research and development; labor; economic model.
JEL: C12; C23; F65; G30; G32

 


 

Resumen

Introducción: Los países de América Latina exhiben grandes heterogeneidades en los niveles de productividad laboral y en el grado de libertad económica. Objetivo: Analizar la influencia de la libertad económica en la determinación de la productividad de la mano de obra en los países de América Latina. Metodología: Se utilizaron datos de panel de 20 países entre 2014 y 2023, aplicando modelos de mínimos cuadrados ordinarios agrupados, efectos fijos y aleatorios. Resultados: La libertad económica tiene un efecto positivo sobre la productividad laboral. Los países con mayores niveles de productividad son aquellos con mayor grado de libertad económica. Los indicadores clave incluyen derechos de propiedad, control de la corrupción, gasto público, salud fiscal, libertad empresarial e independencia monetaria. Discusión: Un mayor grado de libertad económica fomenta la productividad laboral, aunque la relación varía entre países. La interacción con otros factores como calidad educativa e infraestructura también influye en los resultados. Aunque la libertad económica es clave, otros elementos complementarios deben ser considerados para un impacto más significativo. Conclusiones: La libertad económica es crucial para aumentar la productividad laboral. Las políticas económicas deben enfocarse en crear un entorno favorable para la inversión y la innovación.

Palabras clave: capital; economía de mercado; economía del trabajo; investigación y desarrollo; mano de obra; modelo económico.
JEL: B59; C23; J01; 047; 054.

 


 

Resumo

Introdução: Os países da América Latina apresentam grande heterogeneidade nos níveis de produtividade do trabalho e no grau de liberdade económica. Objetivo: Analisar a influência da liberdade económica na determinação da produtividade da mão de obra nos países da América Latina. Metodologia: Foram utilizados dados de painel de 20 países entre 2014 e 2023, aplicando modelos de mínimos quadrados ordinários agrupados, efeitos fixos e aleatórios. Resultados: A liberdade económica tem um efeito positivo sobre a produtividade laboral. Os países com maiores níveis de produtividade são aqueles com maior grau de liberdade económica. Os indicadores-chave incluem direitos de propriedade, controlo da corrupção, despesas públicas, saúde fiscal, liberdade empresarial e independência monetária. Discussão: Um maior grau de liberdade económica promove a produtividade laboral, embora a relação varie entre os países. A interação com outros fatores, como a qualidade da educação e a infraestrutura, também influencia os resultados. Embora a liberdade económica seja fundamental, outros elementos complementares devem ser considerados para um impacto mais significativo. Conclusões: A liberdade económica é crucial para aumentar a produtividade laboral. As políticas económicas devem concentrar-se na criação de um ambiente favorável ao investimento e à inovação.

Palavras-chave: capital; economia de mercado; economia do trabalho; investigação e desenvolvimento; mão de obra; modelo económico.
JEL: B59; C23; J01; 047; 054.

 


Introduction

The statement formulated by Krugman (2016, p. 23): "Productivity is not everything, but in the long term it is almost everything", illustrates the relevance of productivity, since it represents one of the most important factors in determining the economic situation and development of countries, firms and individuals.


Throughout history, economic performance, as well as the rise and decline of nations, has been largely explained by the behavior of their productivity (Rodríguez, 2025). In this context, Adam Smith, in his work The Wealth of Nations (1776) noted that the specialization of tasks and the proper allocation of resources facilitate improvements in production processes, which generates progressive economies of scale. Since higher productivity implies innovation, competitiveness and efficiency in resource allocation, countries tend to gain economic leadership and global dominance when they achieve higher relative growth in this area. Likewise, if the dominant nations are going through a stagnation or slowdown in their productivity growth, they are usually surpassed in leadership by those that advance rapidly.


This phenomenon can be observed historically in the decline of powers such as the Roman Empire or the British Empire. In the twenty-first century, a similar dynamic could be occurring with the U.S economy, which appears to be on track to be overtaken as the world's largest economy by China, driven by the rapid growth in its productivity (McKinsey Global Institute, 2016).


In the business sphere, profitability and sustained growth are basically based on efficiency and competitiveness, that is, on productivity. The most productive companies generate better quality products and services at lower unit costs, which allows them, in the long term, to achieve sustainable profits and strengthen their position in the market (Wadkj & Mos, 2021).


Productivity is one of the key variables that directly determines the income level of individuals of working age. A person with higher relative productivity makes a greater contribution to the creation of economic wealth in society, so they tend to receive a higher remuneration, that is, a higher income or personal benefit (Katovich & Maia, 2018).


From a conceptual standpoint, two types of productivity can be identified: total factor productivity and labor productivity. The former refers to the joint contribution of all the factors of production or inputs (labor, capital and land) in the production process. On the other hand, labor productivity corresponds to the value of production per unit of labor, that is, to the average amount of goods and services generated by the labor factor in a given period.


Since economic freedom is defined as that situation in which economic agents enjoy full freedom and ease to work, produce, trade, consume, and invest, with full respect for the rule of law and without a government interference beyond what is necessary to protect and maintain it (Heritage Foundation,  2025), the international literature shows that total factor productivity depends positively, among other elements, on the degree of economic freedom (Alexandre et al., 2022; Antonakakis et al., 2024; Tas & Ulusoy, 2021). The causality is essentially unidirectional: it goes from economic freedom to total productivity (Borovic et al., 2020). Likewise, among the specific components of economic freedom that show a recurrent statistical significance as explanatory variables of total factor productivity, the rule of law, business freedom, freedom of investment, and monetary freedom stand out (Naanwaab & Yeboah, 2013).


With regard to labor productivity, there are few studies carried out for regions or countries outside Latin America that demonstrate that the overall index of economic freedom positively influences labor productivity. These studies show that greater economic freedom is associated with higher productivity of this factor of production (Emara, 2016; Okada & Samreth, 2025; Trpeski et al., 2024).


The overall index of economic freedom is composed of several specific components. Along these lines, for example, research conducted by Henri and Mveng (2024) for a group of 26 countries in Africa found that labor productivity was positively associated with freedom of international trade, monetary freedom, and limited government size, and negatively associated with property rights and regulation. Similarly, Emara and Loreto (2019), in a study covering a set of Asia-Pacific countries, found that labor productivity was positively influenced by the size of the government, the legal system, regulation, and monetary freedom.


There is no specific research that analyzes the relationship between economic freedom and labor productivity in any individual country or across Latin American countries. A partial exception is represented by the study conducted several years ago by Alexandrakis and Livanis (2013); these authors found that labor productivity in Latin America, measured by output per worker, was positively influenced by the regulated size of government, property rights, and monetary freedom, and negatively influenced by foreign trade freedom and deregulation.

Therefore, in a context characterized by marked differences in the levels of economic freedom and labor productivity among Latin American countries, and considering the growing role that economic freedom has acquired in the economic analysis of the twenty-first century, this study aimed to determine the influence of the degree of economic freedom on labor productivity in Latin American countries.

 

Methodology

The research is quantitative, analytical, and non-experimental. Based on annual panel data obtained from secondary sources, the study econometrically determined the influence of the degree of economic freedom on labor productivity in Latin America.


To provide theoretical support for the estimated econometric equation, a macroeconomic model was formulated to specify the causal relationship between economic freedom and labor productivity.


The economic model


In principle, it is assumed that the production of final goods and services, or Gross Domestic Product (GDP) of a country (Y) depends on the technological level (A), physical capital (K) and labor (L), so that the following production function is presented in Equation 1:

Where, b  is a parameter that represents the participation of physical capital in production.


Applying logarithms and then differentiating (1) we derive the formula of the GDP growth rate per labor employed or labor productivity (y), which depends on the growth rates of the technological level or technological innovation (a) and capital per worker (k), represented in Equation 2:

The process of technological change or innovation is positively influenced, among other factors, by spending on research and development (R&D) (Villar & Campo, 2024) and by economic freedom (Keshavarz et al., 2024). Consequently, greater spending on R&D, together with a greater degree of economic freedom, is associated with a faster pace of technological innovation.


Therefore, because the growth rate of labor productivity is conditioned by economic freedom and R&D expenditure —through its effect on the rate of technological innovation—, as well as by the growth rate of physical capital per worker, the model in its reduced form can be synthesized and presented in the form of Equation 3:

According to this equation, the labor productivity of a country depends positively on the degree of economic freedom, R&D spending, and physical capital. Both economic freedom and R&D spending influence productivity through progress or technological innovation.


The variables


Operationalizing Equation 3, the research considered the labor productivity of each Latin American country as a dependent variable, and economic freedom as an independent variable of analysis. On the other hand, R&D expenditure and physical capital were included as independent control variables. Likewise, the 12 components that make up the general index of economic freedom prepared by Heritage Foundation (Table 1).

Table 1
Descripción de las variables

Variables

Description

Dependent Variable:

 

Labor productivity

GDP per worker, constant 2017 U.S. dollars

Independent variables: Economic freedom

Economic freedom (overall)

Overall index of economic freedom

Property rights

Legal protection of private property and risk of expropiation

Judicial effectiveness

Independence and quality of the judicial system

Government integrity

Perception and control of corruption in the public sector

Tax burden

Income tax rate and total revenue as a percentage of GDP

Government spending

Government expenditure as a percentage of GDP

Fiscal health

Fiscal déficit and public debt as a percentage of GDP

Business freedom

Infrastructure and regulation of business activity

Labor freedom

Legal framework and regulation of the labor market

Monetary freedom

Inflation and degree of government intervention in prices

Trade freedom

Tariff rate and non-tariff barriers

Investment freedom

Restrictions and barriers to domestic and foreign investment

Financial freedom

Regulation and openness of the financial system

Independent variables: Control

Physical capital

Gross fixed capital formation

R&D expenditure

Total research and development spending

Source: Own elaboration.


Similarly, to Kpognon et al. (2022), labor productivity was quantified as GDP per worker employed.

The general index of economic freedom is a simple average of 12 indicators or components, grouped into four categories: rule of law (property rights, integrity of government, judicial effectiveness), size of government (tax burden, public spending, fiscal health), regulatory efficiency (freedom of enterprise, freedom of labor, monetary freedom), and openness of markets (freedom of trade, freedom of investment, financial freedom). Both the general index and the one corresponding to each of the 12 components receive a score ranging from 0 to 100, which indicates, from lowest to highest, the degree of economic freedom (Heritage Foundation, 2025).


At the international level, several studies that identify foreign direct investment, foreign trade, inflation, and human capital as macroeconomic determinants of labor productivity (Chandran et al., 2024; Thanh, 2024). However, these variables are, in some way, implicitly contained in one of the independent variables included in Table 1. Therefore, incorporating them as control variables could generate multicollinearity problems. For example, gross capital formation (physical capital) includes both foreign direct investment and domestic investment; trade freedom encompasses foreign trade, and monetary freedom reflects the rate of inflation.


Coverage and source of information


The research covered the period 2014-2024 and considered 20 Latin American countries. However, due to the lack of information for the control variables corresponding to the year 2024, the econometric estimates were made with annual figures for the period 2014-2023.


The data were obtained from secondary sources. The series on labor productivity was obtained from the International Labor Organization (ILO, 2025); the information on economic freedom and its 12 dimensions, from the Heritage Foundation (2025); and the data on physical capital and R&D expenditure, from the World Bank (2025).


Statistical analysis

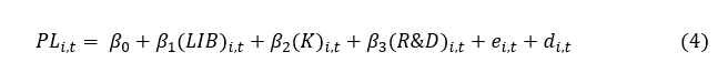
In order to quantify the impact of economic freedom on labor productivity, econometric regressions were estimated based on the functional specification presented in Equation 3, which is reformulated in its version for panel data in Equation 4:

Where: PL is the annual labor productivity of each of the Latin American countries during the 2014-2023 period, which, similar to the approach used by Karaalp (2017), was expressed in logarithms;  e represents the error; d refers to the non-observable differentiating characteristics of the countries; β₁, β₂, and β₃ the estimated parameters or coefficients; and β0 is the constant, which captures the explanatory influence of variables other than economic freedom, physical capital and R&D expenditure.


The  parameter measures the effect of economic freedom on labor productivity. Therefore, its value and estimated sign indicate the degree and sense in which economic freedom influences labor productivity.

Given the panel data nature of the information analyzed (period 2014-2023 and 20 countries), and following the methodological line proposed by Gujarati and Porter (2009) and Wooldridge (2015), econometric estimations were performed using pooled Ordinary Least Squares (pooled OLS), fixed effects, and random-effects models. The non-observable differentiating characteristics of Latin American countries were assumed to be equal to zero in the pooled OLS model, as fixed parameters in the fixed-effects model, and as random variables in random-effects model.

The econometric estimations were carried out using the statistical software EViews 12.

 

Results

Before presenting the results of the econometric regressions, the main features and trends of labor productivity and economic freedom in the Latin American region during the period 2014-2024 are briefly described.


Descriptive results


At first glance, there are marked differences in the levels of economic freedom and labor productivity among Latin American countries. For example, in 2024, The economic freedom index of Chile was three times higher than that of Cuba, while labor productivity of was nearly twelve times greater than that of Haiti (Table 2).


Table 2
Latin America: Evolution of Economic Freedom and Labor Productivity, 2014-2024

 

Labor Productivity

(In 2015 U.S. dollars)

Economic Freedom

(Index)

 

2014

2024

Change (%)

2014

2024

Change (%)

Argentina

56680

51500

-9.1

44.6

49.9

11.9

Bolivia

16287

17147

5.3

48.4

43.5

-10.1

Brasil

34377

33471

-2.6

56.9

53.2

-6.5

Chile

54135

57652

6.5

78.7

71.4

-9.3

Colombia

30372

35508

16.9

70.7

59.2

-16.3

Costa Rica

40853

52344

28.1

66.9

67.7

1.2

Cuba

37497

39411

5.1

28.7

25.7

-10.5

República Dominicana

36532

46546

27.4

61.3

62.9

2.6

Ecuador

28333

23054

-18.6

48

55

14.6

El Salvador

20052

22010

9.8

66.2

54.4

-17.8

Guatemala

20682

23011

11.3

61.2

62.4

2

Haití

8485

7118

-16.1

48.9

48.2

-1.4

Honduras

13095

14171

8.2

57.1

58.6

2.6

México

46232

45659

-1.2

66.8

62

-7.2

Nicaragua

12863

13548

5.3

58.4

534

-8.6

Panamá

65059

81837

25.8

63.4

64.1

1.1

Paraguay

28284

30065

6.3

62

60.1

-3.1

Perú

22132

25044

13.2

67.4

64.8

-3.9

Uruguay

46913

54115

15.4

69.3

69.8

0.7

Venezuela

69365

23467

-66.2

36.3

28.1

-22.6

Source: Own elaboration with information of the ILO (2025) and Heritage Foundation (2025).

An examination of Table 2 for the identification of the following relevant aspects:


a) In 2024, Chile and Uruguay were the countries with the highest levels of economic freedom, while Cuba and Venezuela recorded the lowest. Regarding labor productivity, Panama and Chile exhibited the highest values, and Haiti and Nicaragua showed the lowest.
b) Compared with 2014, in 2024 a slight majority of Latin American countries displayed an increase in labor productivity, accompanied by a decline in their level of economic freedom.
c) Between 2014 and 2024, the positions of countries in the rankings of economic freedom and labor productivity remained relatively stable. In both years, Chile was the country with the highest economic freedom, while Cuba and Venezuela ranked last. In terms of productivity, the three countries leading the ranking in 2024 (Panama, Chile and Uruguay) were already among the top five in 2014.
d) In a context where most countries reduced their level of economic freedom, the three nations that recorded the greatest increase in labor productivity (Costa Rica, the Dominican Republic and Panama) also improved their level of economic freedom.
e) In 2024, the country with the highest level of economic freedom (Chile) was, in turn, the second most productive.
f) In the same year, the four countries with the highest labor productivity (Panama, Chile, Uruguay and Costa Rica) ranked among the top five in terms of economic freedom.
g) The country that experienced the largest decline in economic freedom (Venezuela) was also the one that recorded the greatest decrease in labor productivity.
In summary, the last four aspects mentioned above seem to suggest, in a descriptive and preliminary manner, the existence of a slight positive association between the degree of economic freedom and labor productivity in Latin America.


Econometric results


Table 3 presents the results obtained from the estimations carried out using the econometric model specified in Equation 4. It can be observed that, across the three regression methods applied, the variable economic freedom is statistically significant at the 1% level of significance, that is, with 99% confidence. Furthermore, the positive sign of the estimated coefficient indicates a direct relationship between economic freedom and labor productivity, suggesting that higher levels of economic freedom are associated with higher levels of productivity.


Table 3
Latin America: Determinants of Labor productivity

Explanatory Variables

Pooled OLS

Fixed effects

Random effects

Economic Freedom

0.008972***

0.009045***

0.008972***

Physical Capital

0.015403***

0.014820***

0.015403***

R&D Expenditure

0.736487***

0.737741***

0.736487***

Constant

9.254188***

9.261802***

9.254188***

R2

14.28%

14.99%***

14.28%

F- Statistic

Prob.

37.04

0.000

1.84

0.049

7.44

0.000

***Significant at 1% level.
Source: Own elaboration.

In the case of the control variables, it is also observed that they are statistically significant at 1% level of significance in all three estimation methods used. Likewise, the positive signs of the estimated coefficients indicate that higher levels of physical capital endowment and R&D expenditure contribute to the increase in labor productivity.


In the three regressions, the constant term was also found to be statistically significant at 1% level, suggesting that, in addition to economic freedom, physical capital, and R&D spending, there are other variables that affect the determination of labor productivity.


Although the estimated R² values are relatively low, the F statistics show probabilities lower than 0.05 in the three models, which indicates that, overall, the models are statistically significant in explaining the behavior of labor productivity.


Even though the three estimation methods yielded very similar values and levels of statistical significance for the parameters, and that the R² values were also slightly similar, the most appropriate model was determined by applying the Hausman test and the F-statistic. Both tests indicated that the fixed-effect model was the most suitable.


Once the fixed-effect model was selected as the final specification, its validity was evaluated to rule out spuriousness. For this purpose, a unit root test was applied to the model residuals. This test sets the null hypothesis that the regression is spurious; therefore, if the estimated statistics yield a probability greater than 0.05, this hypothesis is accepted. In this case, as shown in Table 4, all statistics present probabilities lower than 0.05, which allows us to reject the null hypothesis and accept the alternative, concluding that the regression is not spurious, that is, it is valid.

Table 4

Unit Root Test of Residuals

Method

Statistic

Probability

Null: Unit root (assumes common unit root process)

Levin, Lin and Chu t

-7.996

 0.000

Null: Unit root (assumes individual unit root process)

ADF - Fisher Chi-square

 47.886

 0.000

PP - Fisher Chi-square

 134.955

 0.000

Source: Own elaboration.

Once it was established that the overall index of economic freedom positively influences labor productivity, a second regression was carried out, this time considering the twelve individual components of economic freedom proposed by the Heritage Foundation as explanatory variables. The objective was to identify which of these specific components are relevant in determining labor productivity.


Physical capital was maintained as the control variable. However, R&D expenditure was not included, since in Latin America this type of spending is mostly financed by the public sector (Ibero-American Network of Science and Technology Indicators, 2024), which could generate collinearity problems with the public expenditure component.


Due to the number of independent variables and the limitations of the EViews 12 software in estimating variable effects models, the regressions were performed using the pooled OLS and fixed-effects models.


To determine which model was more appropriate, the Chow Test was applied, which evaluates whether the fixed effects specific to each Latin American country, are statistically significant. This test sets as its null hypothesis the absence of fixed effects. If the F-statistic has a probability value lower than 0.05, the null hypothesis is rejected and the alternative, that fixed effects exist, is accepted. In this case, the estimated F statistic was 2.505966, with an associated probability of 0.0262, which allowed the rejection of the null hypothesis and led to the conclusion that the fixed effects were statistically significant. Consequently, the fixed-effect model was chosen as the most appropriate, considering that each country has a different intercept.


Table 5 presents the results obtained with fixed effects. It can be observed that the specific components of economic freedom that were statistically significant at 1% level (99% confidence) were: property rights, fiscal health, business freedom, and monetary freedom. Likewise, with a confidence level of 95%, government integrity and public spending were also significant.


Additionally, labor productivity was found to be directly related to property rights, government integrity, public spending, and business freedom; and inverse related to fiscal health and monetary freedom.


Table 5
Latin America. Influence of the Components of Economic Freedom on Labor Productivity

Explanatory Variables

Coefficient

Std. Error

t-Statistic

Prob.

Property Rights

0.016

0.004

3.838

0.000

Judicial Effectiveness

-0.006

0.005

-1.316

0.191

Government Integrity

0.011

0.004

2.490

0.014

Tax Burden

-0.003

0.006

-0.528

0.598

Government Spending

0.008

0.004

1.994

0.049

Fiscal Health

-0.007

0.001

-5.722

0.000

Business Fredom

0.022

0.007

3.042

0.003

Labor Freedom

-0.004

0.004

-1.139

0.257

Monetary Freedom

-0.016

0.005

-3.469

0.001

Trade Freedom

-0.011

0.008

-1.390

0.168

Investment Freedom

0.003

0.002

1.141

0.256

Financial Freedom

0.004

0.003

1.153

0.252

Physical Capital

0.020

0.007

3.065

0.003

Constant

9.621

0.594

16.209

0.000

R2

79.96%

 

 

F-statistic

Prob.

22.26

0.000

 

 

Source: Own elaboration.


In the case of physical capital, the findings from the previous regression shown in Table 3 are reaffirmed, that is, greater investment in capital goods has a positive influence on labor productivity.
To verify that the regression performed was not spurious, a unit root test was applied to the residuals. In this regard, Table 6 clearly shows that the regression is not spurious, since all the estimated statistics have probabilities of lower than 0.05.      

                                     
Table 6
Unit Root Test of the Residuals

Method

Statistic

Probability

Null: Unit root (assumes a common unit root process)

Levin, Lin and Chu t

-14.306

 0.000

Null: Unit root (assumes an individual unit root process)

ADF - Fisher Chi-square

 147.941

 0.000

PP - Fisher Chi-square

 151.273

 0.000

Source: Own elaboration.

Discussion

The results of the regressions show that the economic freedom index is positively related to labor productivity in Latin America. This indicates that the Latin American countries the highest levels of labor productivity are those that exhibit the highest degrees of economic freedom. This finding is consistent with what was reported by Emara (2016), who analyzed a sample of 139 countries, including those in the Middle East and North Africa, and by Alexandre et al. (2022), for a sample of 64 countries composed of 23 developed and 41 emerging or developing economies.


Economic freedom positively affects labor productivity by improving economic efficiency, as it facilitates the reallocation of resources, particularly labor, toward sectors and activities with higher profitability and productivity, and does so with lower adjustment costs (Hall & Lawson, 2014).
Higher work productivity is also associated with greater effort, responsibility, and discipline on the part of the worker. In this sense, as economic freedom increases the demands of the labor market, it drives greater commitment and performance of workers, which is defined as an increase in their productivity (Joan et al., 2019).


In addition, a motivated workforce with a higher level of well-being tends to perform better. Since economic freedom is associated with greater subjective well-being, it positively influences worker motivation, which in turn contributes to higher labor productivity (Kai, 2013).


On the other hand, a worker with a higher endowment of human capital that is, with more knowledge and skills, achieves higher levels of productivity (Abdelgany & Saleh, 2022). Since the accumulation of human capital largely depends on the quality of education, economic freedom has a significant impact by encouraging both public and private investment in education, thereby strengthening human capital and, consequently, labor productivity (Feldmann, 2025).


Finally, creativity and the innovative capacity are key factors in boosting productivity. Economic freedom also has a positive impact on labor productivity by fostering environments that are more conducive to innovation and continuous improvement in the workplace (Gwartney et al., 2023).


Regarding the control variables, the results of the study show that investment in physical capital positively affects on labor productivity. This finding suggests that Latin American countries with higher levels of investment in physical capital to experience more significant increases in the productivity of their workforce.


The positive association between investment in physical capital and labor productivity identified in this study is consistent with the predictions of economic theory, and coincides with the results reported by Abdelgany and Saleh (2022) for a sample of 39 developing countries, and Rodríguez and Ganau (2022) for European regions.


Physical capital exerts a direct and positive influence on labor productivity, while also having an endogenous effect conditioned by the degree of economic freedom. This is because greater economic freedom fosters investment in physical capital and enables workers to access better tools, technologies, and working conditions (Addi & Abubakar, 2024).


Regarding research and development (R&D) expenditure, measured as a percentage of GDP, a direct relationship with labor productivity is observed. In this context, Latin American countries that allocate a higher relative expenditure on R&D tend to achieve higher levels of workforce productivity. This finding is consistent with the evidence reported by Donghun and KinChung (2021) for ten-member countries of the Association of Southeast Asian Nations (ASEAN), and Kornieieva et al. (2022) for 27 countries of the European Union and Ukraine.


R&D expenditure contributes to the generation of intangible assets that can be reused, imitated, or adapted by other economic agents. Moreover. it fosters the creation of new knowledge and more efficient production processes, while accelerating both innovation and technological adoption. Altogether, these dynamics result in higher output per worker, that is, greater labor productivity (Aghion & Howitt, 2009).


Regarding the relationship between labor productivity and the specific components of economic freedom that were found to be statistically significant, property rights emerge as one of the factors exerting a positive impact on labor productivity. This suggests that Latin American countries with higher productivity levels are those where the rule of law demonstrates greater institutional strength. This finding is consistent with the results reported by Emara and Loreto (2019) for a sample of 139 countries, including the economies of the Middle East and North Africa, as well as by Kpognon et al. (2022) for Sub-Saharan Africa.


According to the methodology employed by the Heritage Foundation in constructing of the Property Rights Index, factors related to protection against expropriation, the quality and enforcement of contracts, and respect for private property are considered. Consequently, labor productivity in Latin America tends to increase in contexts where the risk of expropriation and nationalization is low, contracts are clear, respected, and effectively enforced, and there is strong legal protection for private property.


The government integrity index, in turn, captures the perceived level of corruption in the public sector, encompassing practices such as bribery, lack of transparency and the capture of the state apparatus by private interests. Since a higher value in this index implies a lower level of perceived corruption, the results of this study suggest that greater government integrity is positively associated with labor productivity in Latin America. This finding is consistent with the results obtained by Donghun and KinChung (2021) for the countries of the Association of Southeast Asian Nations (ASEAN), as well as by Abonazel and Shalaby (2021) for 38-member countries of the Organization for Economic Cooperation and Development (OECD).


Bribery and the lack of transparency in public management generate efficiency losses by distorting the allocation of resources and productive factors. These tend to be directed, by political rather than economic criteria, toward less productive sectors, which harms both overall productivity and that of the workforce in particular (Kutlu & Mao, 2023). In addition, corruption reduces the quality of public spending in key areas such as health, education, and infrastructure, negatively affecting the accumulation of human capital and, therefore, labor productivity (Issa, 2025). Likewise, corruption increases the uncertainty, costs, and complexity of legal procedures, which discourages private investment in capital goods, also affecting labor productivity (Zakharov, 2019).


The Public Spending Freedom Index assigns a lower score when spending on consumption and social programs, as a percentage of GDP, is high, and a higher score if such spending is low, implying greater economic freedom. In this sense, the positive sign obtained in the econometric estimation suggests that, in Latin America, labor productivity tends to be higher as relative government spending decreases, that is, the greater the freedom in public spending. This finding is consistent with the results reported by Henri and Mveng (2024) for a sample of 26 African countries, as well as by Xuezhou et al. (2020) for the United Kingdom, Sweden, and Finland.
A larger size of government usually implies more bureaucracy, unproductive spending, and inefficiencies, factors that tend to reduce labor productivity. In turn, high public spending, if it requires higher taxes to finance, can discourage private investment in capital goods, which also negatively affects productivity.


As for the fiscal health freedom index, it assigns a lower score to countries with higher fiscal deficits and public debt as a proportion of GDP. Therefore, the negative sign found in the analysis suggests that, in the case of Latin America, lower fiscal health, that is, higher levels of deficit and debt, is associated with higher labor productivity. This relationship can be explained if the deficit results from increases in productive public spending, such as investment in infrastructure, which stimulates private investment and, consequently, productivity (Ramírez, 2002). Likewise, tax reductions on private investment and corporate profits, although they may widen the fiscal deficit, could boost private investment and, through it, labor productivity.


The fact that higher government spending on consumption and social programs is associated with lower labor productivity, while higher spending on public investment, despite generating fiscal deficits, contributes positively to fiscal productivity, highlights the importance of the structure of fiscal spending. As Ramírez (2002) points out, although the increase in consumption expenditure may reduce labor productivity, greater public investment in infrastructure can significantly enhance it.
The entrepreneurial freedom component measures the extent to which the quality of infrastructure (particularly electricity) and the regulatory framework facilitate the establishment, operation, and closure of businesses. Greater entrepreneurial freedom therefore implies adequate infrastructure and effective regulations, which foster an environment conducive to more efficient business management. The results of this study indicate that Latin American countries with higher levels of labor productivity tend to be those with better indicators of electricity infrastructure and economic regulation.


This link has been corroborated by several previous studies. For example, Yousef (2020) identified a positive influence of regulatory quality on labor productivity in Jordan, while Juhari et al. (2025) found similar results for Malaysia. Likewise, Alam et al. (2018), in an analysis of 56 emerging countries, concluded that adequate access to electricity infrastructure has a positive impact on labor productivity.


As for monetary freedom, this index is primarily constructed based on the inflation rate and, to a lesser extent, on price and subsidy controls. Lower inflation gives a higher score in this component. Therefore, the negative sign found in this study for the case of Latin America indicates that labor productivity tends to be higher when monetary freedom is lower, that is, when inflation is higher. Thus, a positive relationship emerges between inflation and labor productivity.


However, it is important to clarify that this positive relationship does not extend to excessively high levels of inflation, which are detrimental to productivity. Conversely, low and stable inflation rates enhance economic performance. This hypothesis has been supported by studies such as Feronica et al. (2024) for the countries of the Asia-Pacific Economic Cooperation (APEC) forum and Xuezhou et al. (2020) for the United Kingdom, Finland and Sweden. According to Ozbugday (2024), moderate inflation can facilitate the realignment of relative prices and improve market coordination mechanisms, allowing for a more efficient reallocation of resources toward higher productivity sectors. This, in turn, contributes to the increased productivity of production factors in general, and labor in particular.

 

Conclusions

In a context where economic freedom is gaining increasing prominence in economic analysis, this study examined the influence of economic freedom on labor productivity in Latin America. To enhance this productivity, it is essential to implement economic policies and structural reforms aimed at strengthening the rule of law and property rights, optimizing public spending and taxation, promoting deregulation and entrepreneurial freedom, and fostering investment in research and development (R&D).


The econometric regression carried out, using panel data and the fixed-effects method, revealed a positive relationship between the degree of economic freedom and labor productivity. The results indicate that the significant differences in labor productivity observed between Latin American countries can be explained, in part, by the varying levels of economic freedom achieved by each. Those that implemented higher degrees of economic freedom tend to exhibit higher levels of labor productivity.


Regarding the specific components of economic freedom, the analysis found that labor productivity in the countries of the region is positively associated with the protection of property rights, government integrity, and entrepreneurial freedom, and negatively with the size of public spending, fiscal health, and monetary freedom.


The realization of this research was of great importance, as it helped to fill an existing gap in the Latin American context regarding the relationship between economic freedom and labor productivity. This is particularly relevant considering that, in the long term, productivity is a key determinant of economic growth. In this regard, by demonstrating that economic freedom contributes to enhancing labor productivity, the findings reinforce the need for economic policies and structural reforms in the region aimed at increasing the degree of economic freedom. Only in this way will it be possible to move toward a higher level of economic development, since there can be no development without growth.

This research analyzed the explanatory relevance of economic freedom on labor productivity. However, total factor productivity also represents a key dimension in long-term economic performance. Therefore, it is necessary to conduct further studies that examine the relationship between economic freedom and total factor productivity, in order to help close the existing gap on this topic within the context of Latin America.

Ethical considerations

The present research did not require ethical approval, as it utilized publicly available data from the international Labor Organization, the World Bank, and the Heritage Foundation portals.

Source of funding

This article is the result of the research Project “Influence of the Degree of Economic Freedom on Labor Productivity in Latin America” funded by the Vice-Rectorate for Research of the National University of Callao under Resolution No. 103-2024-D/FCE.

 


 

References

(1)Abdelgany, M. & Saleh, A.A. (2022). Human capital and labour productivity: empirical evidence from developing countries. International Journal of Economics, Finance and Management Sciences, 10(4), 173-184. https://doi.org/10.11648/J.IJEFM.20221004.13  
(2)Abonazel, M.R. & Shalaby, O.H. (2021). On labor productivity in OECD countries: panel data modeling. Wseas Transactions on Business and Economics, 18, 1474-1488. https://doi.org/10.37394/23207.2021.18.135
(3)Addi, H.M. & Abubakar, A.B. (2024). Investment and economic growth: do institutions and economic freedom matter? International Journal of Emerging Markets, 19(4), 825-845. https://doi.org/10.1108/IJOEM-07-2021-1086
(4)Aghion, P. & Howitt, P. (2009). The Economics of Growth. MIT Press.
(5)Alam, Md. S., Miah, M. D., Hammoudeh, S. & Tiwari, A. K. (2018). The nexus between access to electricity and labour productivity in developing countries. Energy Policy, 122, 715-726. https://doi.org/10.1016/j.enpol.2018.08.009
(6)Alexandrakis, C. & Livanis, G. (2013). Economic freedom and economic performance in Latin America: A panel data analysis. Review of Development Economics, 17(1), 34–48. https://doi.org/10.1111/RODE.12013
(7)Alexandre, F., Bação, P. & Veiga, F.J. (2022). The political economy of productivity growth. European Journal of Political Economy, 75, 102185. https://doi.org/10.1016/j.ejpoleco.2022.102185
(8)Antonakakis, N., Fisera, B. & Tiruneh, M.W. (2024). Beyond competitiveness: is productivity everything? Research Square, 1-26. https://doi.org/10.21203/rs.3.rs-4017971/v1
(9)Banco Mundial. (2025). Datos. https://datos.bancomundial.org/
(10)Borovic, Z., Gligoric, D. & Trivic, J. (2020). Impact of economic freedom on total factor productivity in former socialist countries. Economic Analysis, 53(2), 95-108. https://doi.org/10.28934/ea.20.53.2.pp95-108
(11)Chandran, V.G., Rasiah, R. & Lim, T.H. (2024). Driving labor productivity: the role of capability and human capital in Malaysia´s food manufacturing firms. The Singapore Economic Review, 69(01), 335-356. https://doi.org/10.1142/S0217590820500502
(12)Donghun, K. & KinChung, W. (2021). Regional Study on Labor Productivity in ASEAN. The ASEAN Secretariat. https://asean.org/book/regional-study-on-labour-productivity-in-asean/
(13)Emara, N. & Loreto, R. (2019). On the relationship between economic freedom and output per worker: the case of Asia-Pacific countries. International Journal of Economics and Financial Issues, 9(6), 184-194. https://doi.org/10.32479/ijefi.8252
(14)Emara, N. (2016). Economic freedom and economic performance: the case MENA countries. The Journal of Middle East and North Africa Sciences, 2(2), 1-15. https://doi.org/10.12816/0032653
(15)Feldmann, H. (2025). Economic freedom and the quality of education. Kyklos, 78(1), 86-110. https://doi.org/10.1111/kykl.12412
(16)Feronica, B. I., Atiyatna, D. P. & Yunisvita, Y. (2024). Determinants of labor productivity in APEC countries. KnE Social Sciences9(14), 143–160. https://doi.org/10.18502/kss.v9i14.16098
(17)Gujarati, D.N. y Porter, D.C. (2009). Econometría. McGraw-Hill/Interamericana editores, S.A.
(18)Gwartney, J., Lawson, R. & Hall, J. (2023). Economic Freedom of the World: 2023 Annual Report. Fraser Institute. https://www.fraserinstitute.org
(19)Hall, J.C. & Lawson, R.A. (2014). Economic freedom of the world: An accounting of the literature. Contemporary Economic Policy, 32(1), 1-19. https://doi.org/10.1111/coep.12010
(20)Henri, A.O. & Mveng, S.A. (2024). Economic freedom and productivity in  África. Journal of Knowledge Economy, 15(1), 3039-3058. https://doi.org/10.1007/s13132-023-01371-0
(21)Heritage Foundation. (2025). Index of Economic Freedom. https://www.heritage.org/index/
(22)Issa, D. (2025). Does corruption impede the accumulation of human capital in developing countries? Economics of Transition and Institutional Change, n/a. https://doi.org/10.1111/ecot.12447
(23)Joan, E., Levy, G. & Mayoral, L. (2019). Personal liberties, religiosity, and effort. European Economic Review, 120, 103320.  https://doi.org/10.1016/j.euroecorev.2019.103320 
(24)Juhari, F.N., Azman, M.A., Muhamad, F., Chuweni, N. N., Ku, K.M., Let, H.S., Abdul, S., Lee, B.L. & Skitmore, M. (2025). The impact of capital intensity on construction firms’ labor productivity in a developing economy: the effect of market regulation. Construction Innovation, 1-22. https://doi.org/10.1108/CI-05-2024-0136
(25)Kai, G. (2013). Who benefits from economic freedom? Unraveling the effect of economic freedom on subjective well-being. World Development, 50, 74-90.  https://doi.org/10.1016/j.worlddev.2013.05.003  
(26)Karaalp, H.S. (2017). Labour productivity, real wages and unemployment: an application of bounds test approach for Turkey. Journal of Economic and Social Development, 4(2), 11-22. https://www.proquest.com/openview/b51e565416d881a20c04f8f9473e71e7/1?pq-origsite=gscholar&cbl=2037666
(27)Katovich, E. S. & Maia, A. G. (2018). The relation between labor productivity and wages in Brazil. Nova Economia, 28(1), 7-38. https://doi.org/10.1590/0103-6351/3943
(28)Keshavarz, H., Khademi, A. R. & Bakhshi, R. (2024). The effect of economic freedom on innovation: evidence from developed and developing countries. Innovation Economic Ecosystem Studies4(1), 1-20. http//doi.org/ 10.22111/innoeco.2024.49509.1110
(29)Kornieieva, T., Varela, M., Luís, A. L. & Teixeira, N. (2022). Assessment of labour productivity and the factors of its increase in European Union 27 and Ukrainian economies. Economies, 10(11), 287. https://doi.org/10.3390/economies10110287
(30)Kpognon, K.D., Atangana, H., Bah, M. & Asare, P. (2022). Fostering labor        productivity growth for productive and decent job creation in Sub- Saharan African countries: the role of institutional quality. Journal of the Knowledge Economy, 13, 1962–1992. https://doi.org/10.1007/s13132-021-00794-x
(31)Krugman, P. (2016). La era de las expectativas limitadas. Editorial Ariel.
(32)Kutlu, L. & Mao, X. (2023). The effect of corruption control on efficiency spillovers. Journal of Institutional Economics, 19(4), 564-578. http://doi.org/10.1017/S1744137423000061
(33)McKinsey Global Institute. (2016). China’s choice: capturing the $5 trillion productivity opportunity. McKinsey & Company. https://bit.ly/3SYZ2oE
(34)Naanwaab, C. & Yeboah, O. (2013). Determinants of productivity in Africa: The role of economic freedom. Journal of Development and Agricultural Economics, 5(10), 390-402. https://doi.org/10.5897/JDAE12.162
(35)Okada, K. & Samreth, S. (2025). Do institutions promote agricultural productivity? Discussion Paper Series SU-RCSDEA 2025-001.  http://dx.doi.org/10.2139/ssrn.5174244.
(36)Organización Internacional del Trabajo [OIT]. (2025). ILOSTAT data explorer. https://rshiny.ilo.org/dataexplorer53/?lang=en&id=GDP_211P_NOC_NB_A

(37)Ozbugday, F.C. (2024). Inflation as a focal point can explain high profits and low-price dispersion in competitive markets. International Conference on Applied Economics and Finance (ICOAEF-XII), 135-143. Berlin-Germany. http://bit.ly/3HMUuiZ

(38)Ramírez, M. D. (2002). Public capital formation and labor productivity growth in Mexico. Atlantic Economic Journal, 30, 366–379. https://doi.org/10.1007/BF02298779
(39)Red Iberoamericana de Indicadores de Ciencia y Tecnología. (2024). El estado de la ciencia 2024. https://www.ricyt.org/wp-content/uploads/2024/12/El-Estado-de-la-Ciencia-2024.pdf
(40)Rodríguez, A. & Ganau R. (2022). Institutions and the productivity challenge for European regions. Journal of Economic Geography, 22, 1–25. https://doi.org/10.1093/jeg/lbab003 
(41)Rodríguez, A. (2025). Productividad, capital humano y población: sus efectos sobre el crecimiento económico en México (1961-2019). Revista de Economía, Facultad de Economía, Universidad Autónoma de Yucatán42(104), 94-126. https://doi.org/10.33937/reveco.2025.431
(42)Smith, A. (1776). La riqueza de las naciones. Editorial Alianza. https://web.seducoahuila.gob.mx/biblioweb/upload/1%20La%20riqueza%20de%20las%20Adam%20Smith.pdf
(43)Tas, C. & Ulusoy, V. (2021). The role of economic freedom, trade and technology on total factor productivity growth. Beykoz Akademi Dergisi, 9(2), 292-315. https://doi.org/10.14514/BYK.m.26515393.2021.9/2.292-315
(44)Thanh, N. (2024). The relationship between foreign investment (FDI), trade internationalization and labor productivity in Vietnamese localities. Mediterranean Journal of Basic and Applied Sciences, 08(02), 101–116. https://doi.org/10.46382/mjbas.2024.8209
(45)Trpeski, P., Kozheski, K. & Merdzan, G. (2024). Labor productivity in the selected see countries: trends and determinants. Economic Horizons26(1), 75-92. https://doi.org/10.5937/ekonhor2401079T
(46)Villar, J. C. & Campo, J. A. (2024). Análisis empírico de la relación entre investigación, desarrollo, innovación, y crecimiento económico en países OCDE. Revista de Métodos Cuantitativos para la Economía y la Empresa37, 1–13. https://doi.org/10.46661/rev.metodoscuant.econ.empresa.7900 
(47)Wadkj, W. & Mos, M. (2021). Relationship between employee productivity and firm’s profitability from shareholders’ and firm’s perspectives: A comparative study. Sri Lanka Journal of Business Studies & Finance,   1(1), 38-49. https://fbsf.wyb.ac.lk/wp-content/uploads/2021/11/Article-03-I.pdf
(48)Wooldridge, F. (2015). Introducción a la econometría. Cengaje Learning
(49)Xuezhou, W., Hussain, R.S., Hussain, H., Saad, M., Qalati, S.A. & Ali, S. (2020). Labor efficiency, government spending and productivity nexus based on panel ARDL approach: Evidence from selected European countries. Preprint. https://doi.org/10.21203/rs.3.rs-68485/v1
(50)Yousef, E. M. (2020). The determinants of labor productivity in Jordan during the period 1980-2017. International Journal of Business and Economics Research, 9(1), 21-28. 10.11648/j.ijber.20200901.13
(51)Zakharov, N. (2019). Does corruption hinder investment? Evidence from Russian regions. European Journal of Political Economy, 56, 39-61. https://doi.org/10.1016/j.ejpoleco.2018.06.005