https://doi.org/10.22267/rtend.222301.190
USO DE INTERNET Y MERCADO LABORAL: EVIDENCIA DE LA BÚSQUEDA DE EMPLEO EN ECUADOR 2018-2019
INTERNET USE AND LABOR MARKET: EVIDENCE OF JOB SEARCH IN ECUADOR 2018-2019
USO DA INTERNET NO MERCADO DE TRABALHO: EVIDÊNCIA DA BUSCA DE EMPREGO NO EQUADOR 2018-2019
Por: Andrea López Alba1, Héctor Alberto Botello Peñaloza2,
1 Especialista en Pedagogía Ambiental, Universidad Industrial de Santander. Docente Programa de Economía, Facultad de Ciencias Administrativas, Contables y Económicas, Universidad Popular del Cesar, Seccional Aguachica (UPC-SA). Miembro del Grupo de Investigación Econfi de la UPC-SA. ORCiD: 0000-0001-6446-8401. E-mail: andrealopezalba@gmail.com, Colombia.
2 Magíster en Economía, Universidad Industrial de Santander. Miembro del Grupo de Investigación sobre Desarrollo Regional y Ordenamiento Territorial, Universidad Nacional de Colombia. ORCiD: 0000-0002-7795-2590. E-mail: hbotellop@unal.edu.co, Colombia.
Recibido: 22 de noviembre de 2020 Aprobado: 19 de julio de 2021
Resumen
El uso de internet permite realizar ahora diferentes actividades que antes se realizaban personalmente, incrementando así la productividad y el crecimiento económico de los países. Sin embargo, es indispensable poseer conocimientos necesarios para asociar su uso con actividades productivas en la sociedad. El presente documento investiga cuál es la efectividad del uso de la internet en la búsqueda de empleo en el mercado laboral ecuatoriano. El diseño metodológico incorpora un modelo de elección discreta que involucra como variable de tratamiento el método de búsqueda de empleo y como variables de control las características socioeconómicas de los individuos, esto sobre la probabilidad de encontrar trabajo. La investigación emplea los microdatos de la Encuesta Nacional de Empleo, Desempleo y Subempleo (ENEMDU) recopilados por el Instituto Nacional de Estadística y Censos de Ecuador (INEC) en los años 2018 y 2019. Los principales resultados sugieren que la búsqueda de oportunidades laborales a través del internet incrementa la probabilidad de encontrar empleo en un 3%. Igualmente se encuentra que el género, los niveles educativos, edad, estrato y localización geográfica del trabajador impactan de manera significativa la probabilidad de encontrar empleo.
Palabras clave: alfabetización digital; canales de búsqueda de empleo; desempleo; mercado laboral; TIC.
JEL: J64; J68; M15; O15; O33
Abstract
Now-a-days the use of the Internet allows for different activities that were previously performed in person, thus increasing the productivity and economic growth of countries. However, it is essential to have the necessary knowledge to associate its use with productive activities in society. This document investigates the effectiveness of the use of the Internet in the search for employment in the Ecuadorian labor market. The methodological design incorporates a discrete choice model that involves a treatment variable (job search method) and control variables (socioeconomic characteristics of individuals) to calculates the probability of finding work. The research uses microdata from the National Survey of Employment, Unemployment and Underemployment (ENEMDU) collected by the National Institute of Statistics and Censuses of Ecuador (INEC) in the years 2018 and 2019. The main results suggest that the search for job opportunities through the internet increases the probability of finding employment by 3%. It is also found gender, educational levels, age, stratum and geographic location of the worker significantly impact the probability of finding employment.
Keywords: digital literacy; duration of unemployment; transaction cost; search job method; work.
JEL: J64; J68; M15; O15; O33
Resumo
O uso da internet agora permite diferentes atividades que antes eram realizadas pessoalmente, aumentando assim a produtividade e o crescimento econômico dos países. Entretanto, é essencial ter o conhecimento necessário para associar seu uso com atividades produtivas na sociedade. Este documento investiga a eficácia do uso da internet na busca de emprego no mercado de trabalho equatoriano. O projeto metodológico incorpora um modelo de escolha discreta que envolve como variável de tratamento o método de busca de emprego e como variáveis de controle as características socioeconômicas dos indivíduos, isto sobre a probabilidade de encontrar trabalho. A pesquisa utiliza microdados da Pesquisa Nacional de Emprego, Desemprego e Subemprego (ENEMDU) coletados pelo Instituto Nacional de Estatística e Censos do Equador (INEC) en 2018 e 2019. Os principais resultados sugerem que a busca de oportunidades de emprego através da internet aumenta em 3% a probabilidade de encontrar emprego. Verifica-se também que o sexo, os níveis de instrução, a idade, o estrato e a localização geográfica do trabalhador têm um impacto significativo na probabilidade de encontrar emprego.
Palavras-chave: alfabetização digital; canais de busca; custos de transação; duração do desemprego; trabalho.
JEL: J64; J68; M15; O15; O33
El desempleo es un problema sistemático dentro de las economías latinoamericanas. En consecuencia, su evolución ha constituido un fuerte factor para el diseño de políticas públicas en las economías y su disminución implica una apuesta para las mismas. Para el año 2019, según el Instituto Nacional de Estadística y Censos de Ecuador (INEC) se registró una tasa de desempleo total correspondiente a 4,6%; nivel que se ha mantenido constante durante los últimos tres años y que ha disminuido desde 2007 donde osciló entre 5% y 6% (periodo 2007-2016). Estos niveles de empleo pueden causar una falta de ingreso para las familias más vulnerables, trayendo retrocesos en los niveles de pobreza y calidad de vida (Delgado et al., 2018).
En general, se considera que el mercado laboral se caracteriza por ser competitivo en tanto los individuos pugnan por escasos puestos de trabajo que se otorgan según las habilidades de los trabajadores (Abel, 2005). En esta medida son importantes las características propias del individuo y las que adquieren a través del tiempo, así como la efectividad a la hora de aplicar a las vacantes según los métodos de búsqueda de empleo.
Bajo el modelo neoclásico, el tiempo de búsqueda de empleo dependerá de las preferencias del trabajador, el cual fijará un salario de aceptación en función del beneficio marginal esperado, su preferencial inter-temporal y el costo marginal esperado de la búsqueda. Si este individuo recibe una oferta cuyo salario es mayor al salario de aceptación, accede a la oferta y abandona la búsqueda, pero si tuviera una oferta menor la rechazaría y sigue con la búsqueda, ya que el beneficio es menor al costo adicional esperado (McConnell et al., 2003).
Acorde con Beard et al. (2012); Alon & Stier (2019), las diferencias entre los mecanismos de búsqueda se basan en el grado de información disponible para los buscadores. Los formales cuentan con información general y pública para todos los agentes; los informales utilizan información privada entregada de manera selectiva.
Los principales métodos de búsqueda más conocidos son los avisos clasificados (formal) y las recomendaciones de amigos y parientes (informal) (Viáfara y Uribe, 2009). Con la irrupción de las tecnologías de la información y la comunicación (TIC), han aparecido modalidades de intermediación, como líneas telefónicas e internet (Samaniego, 2002). Esta última ha constituido una verdadera revolución en la sociedad moderna y ha facilitado la comunicación, entre personas, empresas e información en todos los niveles territoriales: regional, nacional e internacional.
Entre los canales de búsqueda, la internet ha sabido suministrar conexión entre desempleados y puestos de trabajo vacantes, sin dejar de lado la posibilidad de encontrar un empleo mejor. Para ello es necesario tener acceso a un computador de modo que las características recogidas por esta decisión son las que principalmente afectarían también la decisión de utilizar Internet como canal de búsqueda de empleo (Kuhn y Skuterud, 2004; Stevenson, 2008). Es así como se han conformado empresas dedicadas a intermediar entre las compañías que ofrecen vacantes y las personas que buscan empleo, usando la internet como medio para ofertar y presentarles la información laboral a los interesados que, entre otras cosas pueden cargar su currículum vitae en las plataformas y aplicar de manera instantánea a las opciones laborales, sin costo alguno. Estas empresas frecuentemente se denominan bolsas de empleo en línea y su importancia radica en la disminución de los costos de transacción, haciendo la gestión de búsqueda laboral más rápida y relativamente fácil a los cibernautas, tal como lo sugieren Cañibano y Sainz (2008) al identificar la facilidad que permite internet en esta actividad.
En Ecuador existen este tipo de ventanillas, algunas de las cuales son linkedin.com, computrabajo.com.ec, multitrabajos.com, opcionempleo.com, entre otros. Estos sitios permiten a los usuarios empleados y desempleados realizar una búsqueda avanzada con opciones de elección entre sectores del país, ocupación, profesión, tiempo laboral, entre otras cuestiones que posibilitan refinar la exploración, así como la recepción de alertas mediante correos electrónicos sobre nuevas ofertas laborales. Para los empleadores permite ofrecer las vacantes con sus requerimientos específicos para precisar un perfil de empleado. Adicionalmente, las redes sociales que han tenido un auge importante en los últimos años se convierten en una opción de internet a la hora de buscar empleo (Trimble y Kmec, 2011). Sin embargo, la brecha que existe entre el analfabetismo digital y la búsqueda de empleo, limita resultados positivos en el mercado laboral. En este orden, Ecuador ha generado políticas económicas desde el Ministerio de las Telecomunicaciones y la Sociedad de Información (MINTEL) para combatir este flagelo, siendo una de ellas implementar el uso de TICs para crear mejores oportunidades de trabajo. Por ejemplo, a través del Plan Nacional de Alistamiento Digital en 2014 se buscó “preparar a los ecuatorianos en el manejo de la tecnología para su propio beneficio” (Molina, 2019). Este tipo de actividades del MINTEL vienen desde 2011 aproximadamente. Con ello, a partir de 2016 el analfabetismo digital ha disminuido, el 25% de los adultos entre los 18 y 65 años utilizan internet una vez al día, según el INEC.
Es importante resaltar que en cuanto a la literatura revisada no se encontró evidencia del uso de internet en la búsqueda de empleo para analizar el problema en Ecuador. Esto constituye la importancia del presente estudio además de sus derivaciones en términos de políticas para el país al notar la relevancia y los efectos positivos que internet como motor de búsqueda de empleo genera. Desde esta perspectiva el presente trabajo analiza cuantitativamente cómo internet ha contribuido a que los individuos desempleados encuentren trabajo en Ecuador. Para cumplir el objetivo se ordena en cinco secciones incluyendo ésta. La siguiente presenta la revisión de literatura en cuanto al uso de internet para búsqueda de empleo. Posteriormente se indica la metodología empleada para medir lo anterior, los datos usados y una descripción de éstos. La cuarta sección exhibe los resultados y el análisis derivado de los mismos, para finalmente, presentar las conclusiones y recomendaciones.
En cuanto al uso de las TICs en el mercado laboral, Duran et al. (2005) justifican que las principales características de las nuevas tecnologías es que transforman el acceso a la información, mejoran sus sistemas internos y los métodos y alcance de difusión de ésta. Sin embargo, para Barro et al. (2001) el contexto socioeconómico de los individuos también condiciona la forma en cómo estos deciden buscar el puesto de trabajo. Mukoyama et al. (2018) también hacen énfasis en la búsqueda de empleo según el ciclo económico, que se puede inferir a través de la ley Okun y la curva de Beverigde. La primera relaciona cambios en la tasa de crecimiento económico con cambios en la tasa de desempleo mientras que la segunda es la correlación negativa entre el número de vacantes y el nivel de desempleo (Bellaniet al., 2002). Es así como la actividad económica tiene un efecto en la demanda por trabajo, lo que impulsa variaciones en la cantidad de vacantes de la economía. Por ejemplo, un incremento de la demanda agregada, incrementa la demanda laboral y disminuye la cantidad de vacantes haciendo más difícil la búsqueda de empleo. Estas dinámicas son diferenciales por sectores económicos y están en función de la productividad y el salario de reserva de los trabajadores (Contreras & Hernández, 2012).
Es importante resaltar que en cuanto a la literatura revisada no se encontró evidencia del uso de internet en la búsqueda de empleo para analizar el problema en Ecuador. Un trabajo reciente de Chacaltana y Ruiz (2017) refiere las ventajas del uso de internet en el mercado laboral, pero centrado al uso en los trabajadores para aumento de la productividad. En él se indica que uno de los principales usos de internet es la búsqueda de información sin especificar qué tipo de información, o el impacto real sobre otros canales de búsqueda. De igual forma, Molina (2019) argumenta que la consecución de empleo es más difícil si el ciudadano ecuatoriano no tiene contacto con una computadora, es mayor de 50 años y es mujer. Por otra parte, Santamaría y Santamaría (2013) al identificar los perfiles digitales del consumidor ecuatoriano, encuentra que los adultos ecuatorianos entre 20 y 30 años que están iniciando su vida profesional, usan las herramientas digitales para la búsqueda de trabajo y el posicionamiento de su nombre dentro de su grupo social. Asimismo, los autores refieren que los usuarios usan la internet, principalmente las redes sociales, para la búsqueda de empleo, capacitaciones para mejorar su desempeño laboral y mantener comunicación (Santamaría & Santamaría, 2013). Desde otra perspectiva, López & Bernal (2011) tomando como población de estudio a los jóvenes estudiantes y no estudiantes de la zona urbana de Ecuador, encontraron que aproximadamente el 2,1% frecuentan, varias veces al día, sitios en internet buscando trabajo.
A nivel general, Rees (1966) realizó uno de los primeros trabajos donde se analizan los canales de búsqueda para empleos. Utilizando el mercado laboral de Chicago, encontró que el nivel educativo influye positivamente en los salarios. Posteriormente, Reid (1972) estudió el oeste de Inglaterra y concluyó que los mecanismos más utilizados son anuncios mediante familiares y amigos. Estas fuentes informales han sido permanentemente el método de búsqueda más usado en los países (Varela y Nava, 2015).
Sin embargo, el crecimiento del uso de internet ha sido notable. Green et al. (2012) encuentran que en Gran Bretaña entre 2006-2009, de cada cinco empleos encontrados cuatro fueron a través de internet. A la vez encuentran diferencias significativas en la búsqueda de empleo en la región rural y urbana, atribuyendo a esta última las principales oportunidades de búsqueda y encuentro.
Asimismo, Kuhn y Mansour (2014) utilizando la Encuesta Longitudinal de Juventud para 2005 encuentran que las personas que buscan trabajo por internet son empleadas un 25% más rápido que aquellas que buscan fuera de internet, lo cual se permite porque la red es más efectiva en este sentido al contactar amigos y familiares, aplicar a empleos y estar pendiente de anuncios. A su vez, estos autores detectan una relación positiva pero débil en cuanto la búsqueda de trabajo por internet y el crecimiento de los salarios entre empleos. De la misma forma, utilizando datos de Estados Unidos, McDonald y Crew (2006) encontraron que la familiaridad con el uso de una computadora es un buen predictor de la realización de búsquedas de trabajo en línea: los que tienen acceso a una computadora en casa (pero no a Internet) son dos veces más propensos a buscar trabajo por la web en comparación con los que no tienen acceso a ninguno de estos recursos. Sin embargo, afirman que las personas que usan internet tienden a ejecutar poco la búsqueda de empleo en línea. Empleando los datos de la Encuesta sobre la Renta (Panel Survey of Income Dynamics) para EE. UU de 1998, Kuhn & Skuterud (2000) encuentran que el uso de Internet como método de búsqueda de empleo está relacionado con el nivel educativo de manera positiva y es más común entre los jóvenes y los hombres (7,6% frente al 6,5% de las mujeres), y menos entre los individuos casados. Si se adicionan variables relacionadas con el tipo de acceso, los efectos de la educación, edad y género permanecen prácticamente iguales, aunque algo menores en magnitud. De igual manera, los mencionados autores en otro estudio donde usaron los datos de la Encuesta de Población de EE. UU para los años 1998 y 2000 que incluyó un apartado sobre el uso de equipos informáticos e Internet, encontraron una asociación positiva entre la probabilidad de ser contratado y el uso de Internet en la búsqueda de empleo. La relación se hizo más ligera al controlar por características adicionales del individuo (género, edad, estado civil, nivel educativo, etnia) y otros métodos de búsqueda (Kuhn y Skuterud, 2004). En Estados Unidos, en 1998 el 15% de los desempleados que buscaban trabajo lo hacían a través de la red. Esta proporción aumentó en más de 10 puntos, hasta el 25,5% en el 2000. Al desagregar el conjunto entre aquellos que buscaban su primer empleo y los que tenían alguna experiencia laboral, el porcentaje de estos últimos que utilizaba Internet como método de búsqueda (20% en 1998; 32% en 2000) fue bastante superior al de aquellos que se ingresaron al ámbito laboral por primera vez (8% en 1998; 21% en 2000), en contra de lo que, a priori, cabría esperar debido a una relación positiva entre el uso de la tecnología en las generaciones más tempranas de personas. Kuhn y Skuterud (2002) comentan que, para los trabajadores ocupados, Internet también se reveló como una herramienta de exploración frecuentemente utilizada; de esta manera, cerca de un 7% trataba de encontrar un empleo a través de la red en el año 1998, mientras que ese porcentaje era superior al 10% dos años más tarde. Por su parte, Campos et al. (2013) analizan la búsqueda de empleo online en el mercado de trabajo español empleando datos procedentes de la Encuesta sobre Equipamiento y Uso de las Tecnologías de la Información y Comunicación en los Hogares para el periodo 2007-2011. A través de modelos probit bivariantes con corrección de sesgo muestral hacen el estudio de internet como canal de empleo tanto para salir del desempleo (relación desempleo-empleo) como para buscar un trabajo mejor (relación empleo-empleo). Los resultados del trabajo muestran que los españoles que buscan trabajo en Internet tienen mayores niveles educativos, son más jóvenes y proceden del sector urbano. Sin embargo, se detecta que el acceso y el uso de Internet como canal de empleo no siguen los mismos patrones, y que las características socio-económicas y demográficas que influyen en el uso de Internet para buscar empleo no son iguales para empleados y desempleados. También, se evidencia la presencia de brechas digitales en acceso y uso asociadas a la edad y al nivel educativo. Evidencia de lo anterior fue encontrada en Colombia por Uribe y Gómez (2006); Uribe et al. (2007). La importancia de la economía colombiana es relevante para esta investigación debido a su parecido a la ecuatoriana, ambas de la región latinoamericana.
Varios de los mencionados trabajos, proponen que la contratación laboral se hace mayor en tanto mayor es la formación educativa. Esto puede deberse a factores de oferta o a factores de demanda. Para separar estos factores, Machin y Van Reenen (1998) relacionan, mediante análisis multivariante, la diferenciación en el empleo de trabajadores con alto nivel de cualificación con variables tales como gastos en I+D, capital y producción, que estarían recogiendo los factores de demanda; en este sentido encuentran que el cambio técnico que exige conocimientos especializados es un fenómeno internacional que ha tenido un claro efecto de incremento en la demanda relativa de las habilidades de los trabajadores; análisis que hacen para seis países de la OCDE: Dinamarca, Francia, Alemania, Japón, Suecia y Reino Unido.
Desde otra perspectiva, al tener en cuenta la internet, varios autores investigan sobre el rol de las redes sociales en la búsqueda de empleo. El cuestionamiento a amigos, familiares y conocidos sobre alguna oferta laboral en distintos lugares es común de esta práctica, aunque puede favorecer más a ciertos grupos de personas en diferentes áreas territoriales, afirmando que es más importante la calidad de la red de un individuo que el número de amigos que tenga conectados en la red social (Anne et al., 2011). De acuerdo con esto, Anne et al. (2011) hacen un análisis multivariante usando los datos de la Encuesta de Fuerza Laboral de Gran Bretaña para individuos de 16-69 años, para 2006 y 2009. Sus conclusiones apuntan a que las personas con niveles educativos inferiores son más dependientes de las redes sociales para la búsqueda de empleo que los titulados de nivel superior. Los análisis de datos revelan que las redes sociales son de particular importancia para aquellos que buscan puestos de trabajo en ocupaciones manuales y de poca cualificación. En este sentido, consideran que las redes sociales no deben ser vistas como una panacea para la búsqueda de empleo, pero sí como otro método con el potencial para mejorar las posibilidades de los solicitantes al encuentro de un trabajo. Otro de los estudios a destacar es el de Garg y Telang (2012), que empleando una encuesta de 109 usuarios de la red realizan un modelo econométrico con funciones de costo y beneficio para estimaciones y parámetros estructurales sobre el comportamiento en la búsqueda de empleo, usando como red principal LinkedIn, considerada como la mayor red profesional del mundo que permite conectarse con personas, impulsar la carrera de formación, informarse respecto el mercado laboral y compartir sobre ello. Los resultados muestran que los lazos fuertes juegan un rol importante en la generación de entrevistas de trabajo y ofrecimiento de puestos y, que los desempleados que usan esta herramienta para salir de su condición laboral son más educados y desean tener un ingreso superior.
En resumen, la evidencia es abundante en países avanzados y en desarrollo donde se expone que la internet ha jugado un papel importante en la búsqueda de empleo gracias a la flexibilidad y a la escala. Sin embargo, los trabajos mencionados anteriormente utilizan modelos de supervivencia paramétricos no longitudinales, lo cual impide obtener una mirada de la efectividad directa sobre los canales de búsqueda.
Para este estudio se implementa un modelo de elección discreta sobre una base longitudinal. En estos modelos se consideran variables dummy o dicotómicas que son observables para el mismo individuo durante periodos de tiempo diferentes. En este caso, el hecho de encontrar empleo por parte del individuo (desempleado) se categoriza como una variable dummy. A su vez, detrás de la variable dependiente” en estos modelos se encuentra una variable no observable , que toma ciertos valores si ha sobrepasado cierto lumbral, como se expresa a continuación y, es dependiente de un conjunto de variables explicativas
Donde el supuesto sobre la distribución de , determina el tipo de modelo a estimar: si se supone una función de distribución uniforme, se utiliza el modelo lineal de probabilidad truncado; si se distribuye como una normal con media cero y varianza uno, el modelo generado será un probit; mientras que si se supone que es mediante una curva logística, se trataría de un modelo logit. La hipótesis de que el umbral a superar por la variable latente sea cero, se puede modificar por cualquier otro valor sugiriéndose que el valor crítico sea el definido por el término constante (Pérez, 2005). De acuerdo con Pérez (2005) bajo el primer enfoque se sugiere que el modelo probabilístico quede definido como:
Dentro del modelo dicotómico la variable endógena representa la probabilidad de ocurrencia del fenómeno analizado (Pérez, 2005).
Para este trabajo, la función de estimación probabilística será:
![]()
Donde T y X corresponden a las variables de tratamiento y a las de control, respectivamente. Las variables de tratamiento se refieren a los distintos métodos de búsqueda de empleo que sugiere la base de datos y a los cuales más adelante se hará mención. Dentro de las variables de control se encuentra el nivel educativo de los individuos que buscan empleo, su edad, género, el parentesco en el hogar, estrato socioeconómico, la región, estado civil y mes en el que fueron encuestados.
Por su parte, Y es la variable dependiente, que indica la probabilidad de encontrar empleo; categorizada de forma dicotómica, donde 1 es si la persona encontró empleo en la semana anterior a la entrevista y cero en caso contrario. capta el aporte marginal de cada uno de los factores socioeconómicos X del individuo i que se seleccionaron con base a la literatura revisada, mencionados anteriormente. T son los medios a través de los cuales los individuos encontraron empleo, con z calculando el impacto de la probabilidad de encontrar empleo mediante esos métodos o herramientas específicas. Se esperaría que este coeficiente fuese mayor que cero y que se valide mediante la hipótesis de significancia individual. Finalmente es el error de la estimación que se distribuye según la parametrización propia de los datos.
La efectividad de los modelos de elección discreta se evalúa mediante cuatro criterios igualmente importantes. El primero de ellos, mide el porcentaje de la varianza de la variable dependiente captada por parte de las independientes, indicador llamado R2 de Mcfadden, entre más elevado más efectivo es el modelo en determinar el comportamiento de la distribución de la variable dependiente. En segunda instancia, se comprueba si la combinación de las variables independientes es significativa en su conjunto al tratar de explicar la variable dependiente. Esto se mide mediante el estadístico de chi cuadrado de ajuste global, que buscará rechazar la hipótesis de no significancia conjunta del modelo a través de valores más altos de este indicador. En tercer lugar, se prueba la significancia individual de las variables explicativas dentro del modelo, observando el valor de la probabilidad menor al 5% para rechazar la hipótesis de nulidad. Una cuarta consideración es la capacidad del modelo de clasificar correctamente las observaciones en los grupos correspondientes. De acuerdo con esto, se tabula el número de casos de individuos que no estando empleados fueron clasificados como empleados por el modelo y viceversa, es decir conocidos como los errores de hipótesis I y II respectivamente. Hay, asimismo, diferentes situaciones sobre la naturaleza de los datos que para una óptima calibración del modelo se deben corregir en caso de encontrarse, tales como la presencia de heterocedasticidad, multicolinealidad y autocorrelación serial, de manera tal que se encuentren los coeficientes más eficientes.
Fuente de datos
Los datos utilizados en la presente investigación corresponden a la Encuesta Nacional de Empleo, Desempleo y Subempleo (ENEMDU) recopilados por el Instituto Nacional de Estadística y Censos de Ecuador (INEC) para el 2018 y 2019. En diferentes secciones de la Encuesta se aproximan las características de la población ocupada y desocupada. Las preguntas tienen que ver si se realizó o no búsqueda de trabajo, actividades que realizó la semana pasada, deseo de trabajar, disponibilidad para trabajar, razón por la que no buscó trabajo, actividades que realizó para conseguir trabajo (dentro de las que se considera la opción de búsqueda por internet) y el tiempo de búsqueda de trabajo.
La ENEMDU contempla nueve métodos para la búsqueda de empleo y la opción de incluir otro método en caso de que no esté listado. Estos son: acudir a sitios de contratación temporal, hablar con amigos o parientes, buscar en la prensa o radio, acudir a agencias de empleo, tratar de establecer su propio taller, empresa o negocio, buscar por internet, enviar o presentar hojas de vida o algún otro que especifique el encuestado. Además, contempla la opción de no haber realizado nada para conseguir trabajo. Los datos de la Encuesta indican que en 2018 y 2019 el método más usado por hombres y mujeres fue el de hablar con amigos y parientes.
Según datos de la CEPAL, el uso del internet por parte de las personas entre los 15 y 74 años en Ecuador ha aumentado a lo largo del tiempo, pasando de 29% en 2010 a 57% en 2013 (véase la Figura1). Si se observa el porcentaje de hogares con acceso a Internet en el mismo país la dinámica es similar, aunque en mayor proporción, pasando del 3% en 2006 al 22,1% en 2013. Las siguientes figuras exponen lo anterior.
Se destaca la inferioridad del acceso de las personas a internet con respecto al promedio Latinoamericano. Donde la media de acceso individual a internet en la región fue de 47,1% en 2013 pero Ecuador se ubica como el tercer país de la región con menor acceso (véase en la Figura 2) .
Figura 1
Personas que utilizan Internet y hogares que tienen acceso a internet, Ecuador 2005-2017 (en porcentaje).

Fuente: elaboración propia con datos de la CEPAL.
Figura 2
Acceso individual de internet en algunos países de América Latina, 2013 (en porcentaje)

Fuente: elaboración propia con datos de la CEPAL, 2013.
En lo concerniente a los usos que dan los ecuatorianos al internet principalmente se destaca el acceso a todo tipo de información, comunicación y entretenimiento, con una participación de 43,8% en 2017. Al considerar únicamente el porcentaje en cuanto al uso sólo para información (incluida la concerniente al desempleo y/o la búsqueda de trabajo), sólo para entretenimiento y sólo para comunicación, se observa que el primero de ellos representa mayor preponderancia (8,7%). Los dos siguientes usos representan un 2,3% y 1,6%; esto según estadísticas de la CEPAL.
Cuando se examinan los microdatos relacionados con la distribución de los principales canales de búsqueda de empleo, se obtiene que el mayor método es hablar con amigos (28%) seguido por el envío de hojas de vida (24%) y las búsquedas en internet (16%). En términos del promedio de edad de los individuos que usan estos canales. Se aprecia que en la búsqueda de trabajo por internet la realizan trabajadores jóvenes de cerca a los 27 años. Por su parte, el hablar con amigos está representado en mayores de 36 años.
Tabla 1
Número y edad media de los trabajadores por tipo de canales de búsqueda de empleo

Fuente: Encuesta de Empleo 2018-2019, INEC.
Con base en lo anterior, se realizó el modelo expuesto en la tercera sección y a continuación se muestran los resultados del mismo.
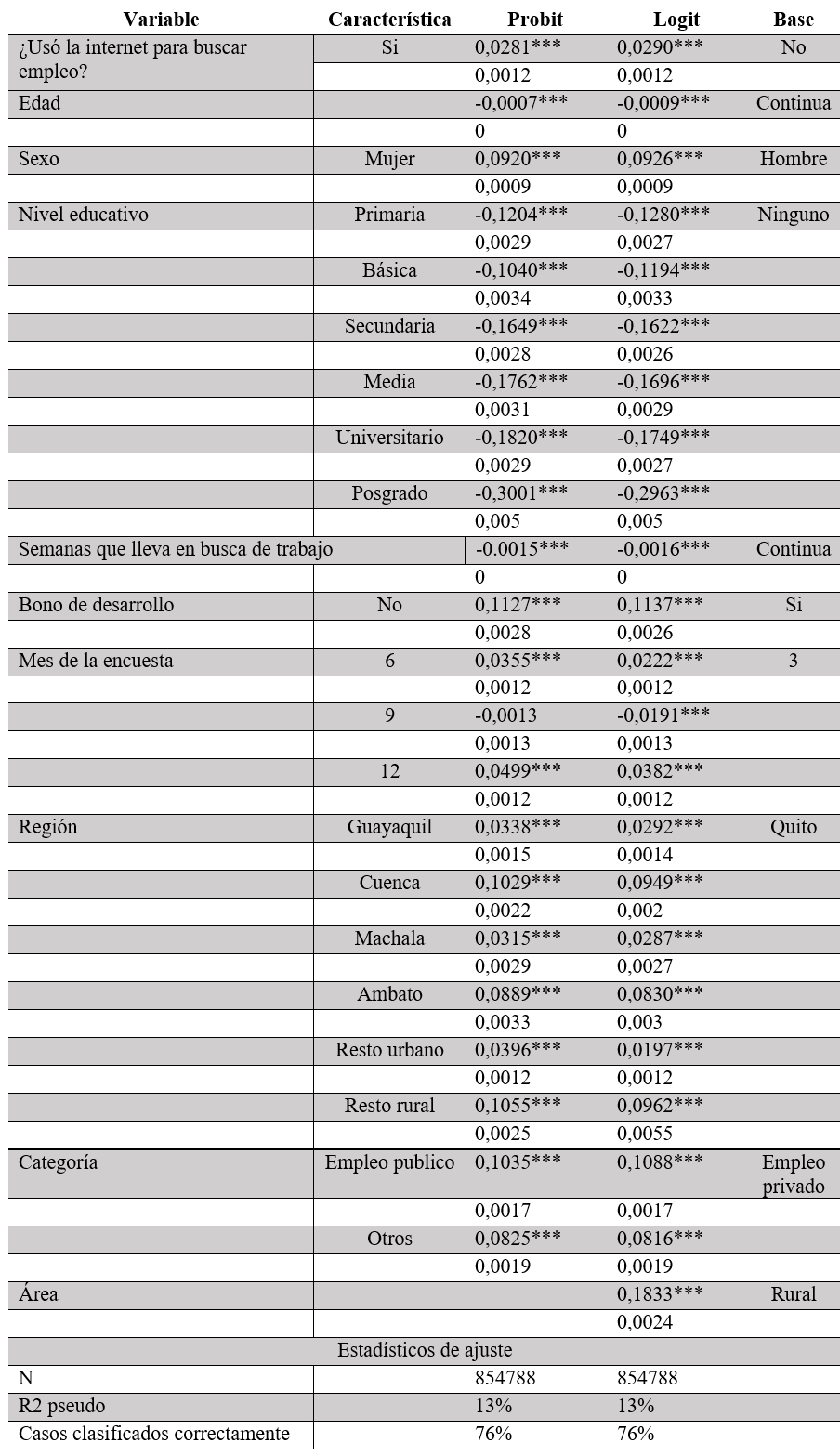
Después de evaluar la base de datos y validar las respuestas de la encuesta se seleccionaron 854 mil individuos para el análisis, a continuación, se realizaron las pruebas de chi cuadrado (chi2) para probar el tipo de función con el cual se distribuía la variable dependiente, encontrándose que era mediante una representación de una curva logística, sin embargo, también se realizó su contraste con el probit. En este orden de ideas, la Tabla 2 muestra los resultados de las estimaciones de los dos modelos con sus efectos marginales, los errores estándar (entre paréntesis) y los niveles de significancia obtenidos para cada una de las variables de control (independientes) sobre la probabilidad de encontrar empleo a través de internet en Ecuador.
En términos del ajuste global, el modelo resulta aceptable considerando que el valor del estadístico chi2 es significativo (51790,74). A su vez, todas las variables de control introducidas presentaron niveles de significancia estadística del 5% y según el R2 ajustado, el modelo consigue explicar un 13,73% de la varianza de la variable dependiente, mientras que el porcentaje de casos correctamente clasificados dentro del modelo propuesto alcanzó cerca del 76%.
Para la interpretación de los resultados, el efecto marginal (elasticidad) en las variables continuas equivale al porcentaje en el que se incrementa la probabilidad de encontrar empleo dado un cambio del 1% en la variable independiente de análisis. Para las categóricas, el efecto marginal mide la probabilidad de manera relativa como comparación de una característica base, por ejemplo, la probabilidad de que una mujer encuentre empleo fue un 9 % mayor que en relación con un hombre; esta relación de interpretación también se sostiene cuando hay varias opciones.
En relación con las variables de tratamiento los resultados indican que la búsqueda de empleo a través de internet incrementa la probabilidad de encontrar trabajo entre un 2,8% y 2,9% en Ecuador frente a otros métodos de búsqueda.
En relación con las variables de control, estos resultados muestran que los hombres son más propicios a encontrar empleo a través de los métodos de búsqueda descritos. El resultado puede deberse a la discriminación por género que existe en el mercado laboral, en detrimento de las mujeres (Rivera, 2013; Botello, 2015a; Fuentes et al., 2005; Martínez y Acevedo, 2004).
Si se observa la dependencia de encontrar empleo, con base en Quito, todos los dominios geográficos presentaron una mayor probabilidad. Los individuos localizados en las zonas rurales fueron los más beneficiados en encontrar empleo, con una probabilidad mayor del 10% frente a la capital del Ecuador. La causa de lo anterior fue el crecimiento de la producción de los sectores económicos asociados al campo tales como el sector agrícola y la explotación petrolera en el periodo de 2017 a 2019. El comportamiento estacional de la encuesta también se controló añadiendo un efecto del trimestre en que fue captada la encuesta. Estos cambios estacionales pueden deberse a características propias del mercado laboral ecuatoriano. En el caso de los individuos cuya información se captó en el último trimestre del año, tuvieron una probabilidad 3,8% a 5% mayor de encontrar un trabajo que quienes estuvieron en el primer trimestre. En términos temporales, por cada semana que la persona declara que busca trabajo, su probabilidad de encontrar empleo un año después baja en 0,15%.
Según el capital humano del individuo que buscó empleo, el comportamiento fue ascendente a medida que el nivel educativo es mayor. Por ejemplo, una persona con título de posgrados tuvo una probabilidad de -30% en encontrar empleo frente a los que no tenían ningún título. Este comportamiento es observable también en el mercado laboral colombiano, donde, acorde a Viáfara y Uribe (2009), este resultado es compatible con salarios de reserva bajos y la aceptación de empleos de baja calidad.
Para la edad cada año adicional disminuye la probabilidad de encontrar empleo en un 0,07%. En pro de explicar lo anterior, Neumark (2009) encuentra que los empleadores tienden a rechazar a las personas de mayor edad dado que para ciertas actividades su productividad puede verse disminuida dada su creencia que estos no podrán responder con sus nuevas responsabilidades.
Tabla 2
Resultado de las estimaciones del modelo econométrico. Probabilidad de encontrar empleo

Fuente: cálculos del autor con base en la ENAHO, Ecuador 2018-2019.
Sin embargo, comparar el uso del internet como canal de búsqueda de empleo frente a un conjunto agregado de opciones puede ser engañoso, dado que la literatura divide los canales formales de los informales.
El comportamiento difiere según el canal de búsqueda. Por lo tanto, se realiza la misma ecuación, pero se desglosa el tipo de canal. Los resultados de las estimaciones se aprecian en la Tabla 3. Con base en los sitios de contratación temporal, la probabilidad de encontrar empleo fue más alta para las personas que hablaron con amigos (15%) y buscaron por internet (15%). Por su parte, la forma menos eficaz es la de fijarse en carteles que presentan ofertas laborales (-23%).
Tabla 3
Resultado de las estimaciones del modelo econométrico. Probabilidad de encontrar empleo por tipo de canal

Fuente: cálculos del autor con base en la ENAHO, Ecuador 2018-2019.
El presente trabajo buscaba analizar el hecho de emplearse a través del uso de internet como herramienta principal de búsqueda de trabajo en Ecuador, es decir, cómo se incrementa la probabilidad de encontrar empleo haciendo uso de tal método de exploración de vacantes. El análisis empleó un modelo de elección discreta que involucró variables de tratamiento como el uso de internet, lectura de anuncios, referencias de familiares y amigos, agencias de empleo y otros métodos de acuerdo con la Encuesta Nacional de Empleo, Desempleo y Subempleo (ENEMDU) recopilados por el Instituto Nacional de Estadística y Censos de Ecuador, en los años 2018 y 2019, exceptuando el mes de enero. Además, se controlaron ciertas variables como el nivel educativo de los individuos que buscan empleo, su edad, género, el parentesco en el hogar, estrato socioeconómico, la región, estado civil y mes en el que fueron encuestados.
Los resultados que arrojó el modelo logit usado indican que la búsqueda de empleo a través de internet en Ecuador, incrementa la probabilidad de encontrar trabajo en un 2,06%, pero es más práctico si se hace a través de agencias de empleo (3,44%), y menos práctico con referencias de amigos y parientes (0,93%) u otro método de búsqueda (0,20%) distinto a los anteriores (incluyendo la lectura de avisos en carteles). Desde esta perspectiva, es necesario comentar que a pesar de que los ecuatorianos prefieren el método de referencias laborales de amigos y parientes, resulta más efectivo la búsqueda de empleo por internet y a través de agencias a la hora de ser contratado.
De igual manera, el hecho de emplearse se encuentra relacionado con el nivel educativo y el estrato socioeconómico de manera positiva y es más común en hombres y en los individuos casados. Por su parte, los efectos de la edad y los del parentesco en el hogar son negativos, este último disminuye en grandes proporciones la probabilidad de ser empleado satisfactoriamente. La edad en cambio, la disminuye en 0,01% por cada año adicional.
Entre la región y la búsqueda de empleo por internet no se evidenció una correlación adecuada, dado que las zonas donde mayor es el uso de la red, el aumento de la probabilidad de encontrar trabajo es menor respecto a otras zonas donde el uso de internet es más bajo. Esto puede deberse a que en Ecuador predomina más otro motor de búsqueda de empleo que el de ofertas laborales por la web, como lo es las agencias físicas encargadas de ello, llevar la hoja de vida a la empresa y el cuestionamiento a referencias familiares y personales; tal y como comprueban los resultados de esta investigación.
Otro resultado importante sugiere que los hombres son más propicios a encontrar empleo a través de los métodos de búsqueda descritos. En este caso, la probabilidad de que una mujer encuentre empleo es un 0,17% menor respecto a que lo haga un hombre. Se resalta que el resultado puede deberse a la discriminación por género que existe en el mercado laboral, en detrimento de las mujeres como lo afirma Rivera (2013), Botello (2015b); Fuentes et al. (2005); Martínez y Acevedo (2004), entre otros.
A manera de recomendaciones, dado que esta investigación muestra que el método de búsqueda de empleo por internet resulta efectivo a la hora de ser contratado y es más práctico que la consulta a referencias familiares y personales, así como la lectura de avisos u otros métodos usados en Ecuador, se colige que el país debe potencializar el acceso y uso de internet en su población económicamente activa principalmente, con miras finales a disminuir su tasa de desempleo y de esa manera contribuir positivamente a una mejor calidad de vida de sus habitantes. Mantener la red de fibra óptica que permite internet para todo Ecuador es importante con el acompañamiento de las actividades de los Infocentros que capacitan a los ciudadanos en manejo de herramientas tecnológicas, informáticas y digitales. Además, resultaría provechoso contar con la ENAHO Ecuador en datos panel a partir de 2012, año en el que se incluyó la búsqueda de empleo a través de internet, para estudiar de forma completa el fenómeno y poder concluir aspectos más relevantes de la economía del país en razón a la disminución del desempleo y el aumento de la calidad de vida de la población haciendo uso de TIC para la búsqueda de trabajo o de un mecanismo que resulte aún mejor.
Para posteriores estudios, se considera importante examinar las características particulares de aquellos individuos que utilizan la internet como método de búsqueda de empleo, y asimismo analizar la distribución y la inquietud que se propone en este trabajo según la población rural y urbana, dado que esto permite priorizar necesidades en cuanto a acceso hacia las TICs y los beneficios potenciales que se pueden desarrollar con esta herramienta respecto a grupos específicos de personas, teniendo en cuenta el nivel de alfabetización digital en el país y los impactos de los Infocentros por edad de los usuarios. De igual manera, sería relevante incluir la valoración relativa al uso de internet para la búsqueda de trabajadores por parte de las empresas, para analizar más completamente la dinámica conjunta del mercado laboral, desde el punto de vista de la demanda y de la oferta.
Para Botello (2015b) esto surge por los rezagos en el ingreso y el grado de educación de los individuos. También encuentra brechas de acceso por género y áreas rurales por la falta de infraestructura.
Referencias
(1) Abel, B. B. (2005). Macroeconomía. Editorial Pearson education, cuarta edición, Madrid España, pp, 31-33.
(2) Alon, S. & Stier, H. (2019). Job search, gender, and the quality of employment in Israel. In Stratification in Israel.
(3) Anne, G., Hoyos, M., L., Y. & Owen, D. (2011). Job Search Study: Literature review and analysis of the Labour Force Survey. Crown.
(4) Arrazola V., M., Campos G., R. & Payá, J. d. (2013). Búsqueda de Empleo Online en el Mercado de Trabajo Español.
(5) Barro, R. J., Grilli, V. y Febrero, R. (2001). Microeconomía: Teoría y Política. Madrid: McGraw Hill.
(6) Beard, R., Ford, G., Saba, R. & Seals, R. (2012). Internet use and job search. Telecommunications Policy, 36, 260-273, https://doi.org/10.1016/j.telpol.2011.12.001.
(7) Bellaniet, D., García S. S. & Pastén, E. (2002). Curva de Beveridge, vacantes y desempleo: Chile 1986-2002. II. Banco Central de Chile.
(8) Botello, H. A. (2015a). Empoderamiento de la mujer latinoamericana: empleo y educación, 1960-2010. Revista Tendencias & Retos. 20(2), 79-99.
(9) Botello, H. (2015b). Determinantes del acceso al internet: Evidencia de los hogares del Ecuador. Entramado, 11(2), 12-19.
(10) Cañibano, C. & Sainz, J. (2008). Nuevas tecnologías, nuevos mercados de trabajo. Mundi-Prensa Libros.
(11) CEPAL (2013). El acceso de banda ancha a Internet como medio de lograr una sociedad digital inclusiva. Ginebra.
(12) Chacaltana, J. & Ruiz, C. (2017). El mercado laboral peruano y el futuro del trabajo. Revista Internacional y Comparada de Relaciones Laborales y Derecho del Empleo. 5(1), 38-72
(13) Contreras, M. Y. & Hernández, K. C. (2012). Tipología del desempleo: un análisis a través de la Curva de Beveridge. Revista Virtual Universidad Católica del Norte, 1(35), 215-233.
(14) Delgado, V. M., Mena, E. S. & Lugo, D. C. (2018). Efectividad de los mecanismos de búsqueda de empleo en el mercado laboral mexicano. Ensayos de Economía, 28(52), 77-100.
(15) Duran, C. & Cabranes (2005). Information and Communication Technology (ICT) for development of small and medium-sized exporters in Latin America: Peru. Cepal.
(16) Fuentes, J., Montero, R. & Palma, A. (2005). Discriminación salarial por género en Chile, una mirada. Estudios de Economía, 32(2), 133.
(17) Garg, R. & Telang, R. (2012). To be or not to be Linked on LinkeIn: Online social networks and job search. MANAGEMENT SCIENCE. 64,(8), 3926-3941. https://doi.org/10.1287/mnsc.2017.2784
(18) Green, A., Li, Y., Owen, D. & De Hoyos, M. (2012). Inequalities in use of the Internet for job search: similarities and contrasts by economic status in Great Britain. Environment and Planning EPA.
(19) INEC. (2018-2019). Encuesta Nacional de Hogares ENAHO.
(20) Kuhn, P. & Mansour, H. (2014). Is internet job search still ineffective? The Economic Journal. 124(581), 1213-1233.
(21) Kuhn, P. & Skuterud, M. (2000). Job search methods: Internet versus traditional. Monthly Lab. Rev., 123, 3. https://doi.org/10.1111/ecoj.12119
(22) Kuhn, P. & Skuterud, M. (2004). Internet job search and unemployment durations. American Economic Review, 94(1), 218-232.
(23) López Jiménez, D. & Bernal, J. (2011). Hábitos de consumo de Internet en Ecuador: Diferencias significativas entre estudiantes y no estudiantes. ComHumanitas: Revista Científica De Comunicación, 2(1), 61-93. http://comhumanitas.org/index.php/comhumanitas/article/view/17
(24) Machin, S. & Van Reenen, J. (1998). Technology and changes in skill structure: evidence from seven OECD countries. The Quarterly Journal of Economics, 113(4), 1215-1244.
(25) Martínez Jasso, I. & Acevedo Flores, G. J. (2004). La brecha salarial en México con enfoque de género: capital humano, discriminación y selección muestral. Ciencia uanl, 7(1).
(26) McConnell, C., Brue, S. y Macpherson, D. (2003). Economía laboral. Madrid: McGraw Hill
(27) McDonald, S. & Crew Jr, R. E. (2006). Welfare to web to work: Internet job searching among former welfare clients in Florida. J. Soc. & Soc. Welfare, 33(239).
(28) Molina, M. J. (2019). Analfabetismo digital en el campo laboral ecuatoriano. Universidad de las Américas.
(29) Mukoyama, T., Patterson, C. & Şahin, A. (2018). Job search behavior over the business cycle. American Economic Journal: Macroeconomics, 10(1), 190-215.
(30) Neumark, D. (2009). The Age Discrimination in Employment Act and the challenge of population aging. Research on Aging, 31(1), 41-68.
(31) Pérez López, C. (2005). Métodos estadísticos avanzados con SPSS. Thompson. Madrid.
(32) Rees, A. (1966). Information Networks in Labor Markets. The American Economic Review, 56(1/2), 559–566.
(33) Reid, G. L. (1972). Job search and the effectiveness of job-finding methods. ILR Review, 25(4), 479-495.
(34) Rivera, J. (2013). Teoría y práctica de la discriminación en el mercado laboral ecuatoriano (2007-2012). Analítika: Revista de análisis estadístico, (5), 7-24.
(35) Santamaría, E. & Santamaría, C. (2013). Perfil digital del consumidor ecuatoriano. Investigación y desarrollo. Revista de Investigación y Desarrollo I+D. 6(1), 49-56
(36) Samaniego, N. (2002). Las políticas de mercado de trabajo y su evaluación en América Latina. Serie macroeconomía del desarrollo. CEPAL.
(37) Stevenson, O. (2008). Social capital activation and job searching: Embedding the use of weak ties in the American institutional context. Workand Occupations, 41(4), 409-439
(38) Trimble, L. B. & Kmec, J. A. (2011). The role of social networks in getting a job. Sociology Compass, 5(2), 165-178.
(39) Uribe, J. I. & Gómez, L. M. (2006). Canales de búsqueda de empleo en el mercado laboral colombiano 2003. Ensayos de economía aplicada al mercado laboral, 351-382.
(40) Uribe, J. I., Viáfara, C. A. & Oviedo, Y. M. (2007). Efectividad de los canales de búsqueda de empleo en Colombia en el año 2003. Lecturas de economía, (67), 43-70.
(41) Varela Llamas, R. & Nava Rubio, M. Y. (2015). Determinantes de la búsqueda de empleo desde la ocupación: una estimación Logit Multinomial. Estudios sociales (Hermosillo, Son.), 23(45), 83-111.
(42) Viáfara, C. A. & Uribe, J. I. (2009). Duración del desempleo y canales de búsqueda de empleo en Colombia. Revista de economía institucional, 11(21), 139-160.
Cómo citar este artículo: López, A. y Botello, H. (2021). Uso de internet y mercado laboral: evidencia de la búsqueda de empleo en Ecuador 2018-2019. Tendencias, 23(1), 252-276. https://doi.org/10.22267/rtend.222301.190