http://dx.doi.org/10.22267/rtend.192001.111

PRINCIPALES DETERMINANTES DE LAS IMPORTACIONES EN COLOMBIA. 2000 – 2016

MAIN DETERMINANTS OF IMPORTS IN COLOMBIA. 2000-2016

PRINCIPAIS DETERMINANTES DAS IMPORTAÇÕES NA COLÔMBIA. 2000 – 2016

 

Por: Mario Gabriel Rangel Vargas1, Juan Camilo Pinza Córdoba2, Juan Pablo Fajardo Perdomo3, Jeferson Yomar Velasco Delgado4

 

1 Magister en administración y desarrollo regional, Colegio de Puebla. México. Docente de la Facultad de Economía UNAM, Docente e Investigador de la Facultad de Acatlan UNAM, Docente de la Escuela Superior de Economía Instituto Politécnico Nacional, Docente en la escuela bancaria y comercial. Email: rangelgabo50@gmail.com, México.

2 Estudiante del departamento de Economía, Noveno semestre, Universidad de Nariño, Colombia. grupo de investigación Coyuntura Económica y Social CES. Email: jcamilopinzac@gmail.com, Colombia.

3 Estudiante del departamento de Economía, Noveno semestre, Universidad de Nariño, Colombia, grupo de investigación Coyuntura Económica y Social CES. Email: jaunperdomo1522@hotmail.com, Colombia.

4 Estudiante del departamento de Economía, Noveno semestre, Universidad de Nariño, Colombia. grupo de investigación Coyuntura Económica y Social CES. Email: jefer1708@hotmail.com, Colombia.

 

Recibido: 20 de noviembre del 2018 Aprobación definitiva: 17 de julio de 2019

 

 


 

Resumen

Como en muchos países de América Latina el desarrollo económico de Colombia se encuentra estrechamente ligado al comportamiento de su comercio exterior. Las fluctuaciones de los términos de intercambio y el comportamiento de las importaciones determinan los ciclos de la actividad económica y los puntos de inflexión más importantes de la estructura productiva del país. La presente investigación tiene como objetivo analizar los principales determinantes del comportamiento de las importaciones colombianas en un periodo de 16 años, 2000 – 2016 a través de la exploración de la teoría económica y la implementación de un modelo econométrico bajo el método de estimación Log – Log, se hace hincapié en la consideración de la existencia de una relación a largo plazo entre la demanda de importaciones con el Producto Interno Bruto real y Tasa de cambio real. Los resultados obtenidos a través del estudio indican que las importaciones en Colombia se encuentran determinadas por el Producto Interno Bruto y la Tasa de Cambio Real, las cuales permiten explicar las variaciones que tienen las importaciones en el país.

 

Palabras clave: Colombia, importaciones, economy activity, actividad económica, producto interno bruto real, tasa de cambio real, comercio internacional.

JEL: A22, B16, C01, C13, C51, F14, F41

 


 

Abstract

As in many countries of Latin America, the economic development of Colombia is closely tied to the behavior of its foreign trade. Fluctuations in the terms of Exchange and import behavior determine the cycles of economic activity and the major turning points of the productive structure of the country. This research aims to analyze the main determinants of the behaviour of imports Colombian in a period of 16 years, 2000-2016 through the exploration of economic theory and the implementation of an econometric model under the method of estimating Log - Log, emphasis on the consideration of the existence of a long-term relationship between the demand for imports with the real gross domestic product and real exchange rate. The results obtained through the study indicate that the Colombian imports are determined by the gross domestic product and the Real Exchange rate who allow explain the variations of the imports into the country

 

Keywords: Colombia, imports, real gross domestic product, real exchange rate, international trade.

JEL: A22, B16, C01, C13, C51, F14, F41

 

 


 

Resumo

Como em muitos países de América Latina, o desenvolvimento económico da Colômbia tem uma relação com o seu comportamento de seu comércio mundial. As flutuações dos termos de intercâmbio e o comportamento das importações determinam os ciclos da atividade económica e os pontos mais importantes da estrutura produtiva do país. Esta pesquisa visa analisar os principais determinantes do comportamento das importações da Colômbia em 16 anos, 2000 – 2016 por meio da exploração da teoria econômica e a implementação de um modelo econométrico na estimação Log – Log, é importante destacar a consideração da existência de um relacionamento ao longo tempo entre a demanda das importações com o PIB real e a taxa de câmbio real. Os resultados os resultados obtidos na investigação indicam que as importações da Colômbia são determinadas pelo Produto Interno Bruto e a Taxa de Câmbio Real, as quais permitem explicar as variações das importações no país.

 

Palavras-chave: Colômbia, importações, atividade económica, produto interno bruto, taxa de câmbio real, comércio internacional.

JEL: A22, B16, C01, C13, C51, F14, F41

 


 

 

I. INTRODUCCIÓN

Este artículo de investigación se desprende de una investigación más amplia acerca de las relaciones comerciales que ha experimentado Colombia y como las políticas comerciales han afectado el crecimiento económico. Es importante mencionar que el siguiente análisis se enmarca en un periodo comprendido desde el año 2000 a 2016 donde las policías comerciales responden a la voluntad política de los gobiernos de Álvaro Uribe Vélez (2002- 2010) Juan Manuel Santos (2010 -2018) época donde Colombia ya se encuentra inmersa en la apertura comercial firmada por el expresidente Gaviria en 1991.

Además, presentamos este artículo a la comunidad en general, pero especialmente a los estudiantes de economía ya que se realiza un análisis empírico de un modelo econométrico con su respectiva interpretación para que sea utilizado como base en sus respectivos cursos de econometría.

El análisis del comercio internacional en países que se encuentran en vía de desarrollo, como Colombia, donde su economía al igual que muchas economías de la región se caracterizan por ser más importadoras que exportadoras. Durante los últimos años, las importaciones han significado gran parte de la economía en Colombia, para ello se permite identificar patrones de comportamiento de variables macroeconómicas como las importaciones, con respecto a lo cual se ha abierto un debate donde se encuentran puntos de vista que defienden que el incremento de estas han mejorado las relaciones con los diferentes países y otros que la critican afirmando que es una de las causantes de la desaceleración económica que presenta Colombia.

En el presente trabajo se expone como primera parte el marco teórico relacionado con la teoría economía internacional y la estimación de los determinantes de las importaciones. La segunda parte hace referencia a los estudios que se han realizado previamente en Colombia y en diferentes países con respecto a las variables que influyen en el comportamiento de las importaciones. La tercera sección presenta la metodología implementada para desarrollar la estimación de los determinantes de las importaciones colombianas. La cuarta sección presenta los resultados de la estimación bajo la metodología propuesta y, por último, se presentan las conclusiones y recomendaciones.

 

 

II. MARCO TEÓRICO

En el marco del comercio internacional surgen diferentes teorías que hacen hincapié en aquellos factores que determinan que un país tenga mayor dinamismo en su comportamiento comercial frente a otro. Uno de los temas que abordan estas teorías son las importaciones, que hacen referencia aquellos bienes y servicios producidos en el exterior y que son demandados por los residentes de un país.

Algunas teorías del comercio, como las que se mencionaran posteriormente, establecen que el precio no es el único determinante de ventaja entre un agente económico y otro. Se tiene en cuenta la calidad, la diversificación y factores de competencia imperfecta (monopolios, carteles, etc.,) y que además, la combinación de estos factores afectan las relaciones al momento de comerciar internacionalmente.

Para Thomas Mun, por ejemplo, las importaciones disminuyen si se refrena el consumo excesivo de productos extranjeros, vicios que en la actualidad son más notables en nosotros que en épocas pasadas. Sin embargo, pueden fácilmente corregirse obligando a la observancia de tan buenas leyes como las que se observan estrictamente en otros países, en contra de los excesos mencionados (compras al extranjero), fomentando el uso de sus propias manufacturas, sin prohibición o agravio a los extranjeros en su comercio mutuo, fomentar el uso de las manufacturas internas por medio de leyes o políticas que concienticen al consumidor y no prohibiendo el consumo hacia el exterior.

Tomas Mun afirma:

 

los libros de las aduanas sirven solamente para guiarnos en lo que concierne a la cantidad, pues no debemos evaluarlos como son estimados aquí, sino por lo que nos cuestan con todas las cargas agregadas a nuestros barcos en los diferentes lugares donde son comprados…En consecuencia, el método que se ha empleado para multiplicar por veinte todas las tarifas de las mercancías que se introducen, producirá un gran error en la balanza, pues de esta manera los diez mil sacos de pimienta que este año hemos traído de las Indias Orientales deberán ser valuados a muy cerca de doscientas cincuenta mil libras esterlinas…En tercer lugar debemos recordar que toda mercancía exportadora o importada por extranjeros (en sus navíos) será estimada, por ellos mismos, por lo que sacan, pues el reino tiene solamente el costo inicial y los derechos de aduana. Y lo que traen debemos estimarlo a lo que vale aquí, deduciendo solamente los impuestos adúnales, las contribuciones y otras cargas pequeñas . (Mun, 1954)

No obstante, William Petty dice que las importaciones se desestimulan, gravándolas a partir de la idea de la protección a la producción nacional, lo que se busca es el fortalecimiento del estado a través de un proteccionismo. Los aranceles desestimulan las importaciones, en el caso de no existir este gravamen las importaciones no se ven afectadas, todo depende de las relaciones económicas que tenga cada país con el exterior. (Gómez, 1632 -1687)

La preocupación para los mercantilistas como Francois Quesnay giraba alrededor de la acumulación de metales preciosos, fundamentalmente del oro. Donde los estados lo obtenían por medio del comercio exterior, o sea vendiendo productos locales en el extranjero-exportaciones - y prohibiendo o restringiendo la compra de producción extranjera-importaciones.

Sin embargo, Adam Smith elaboró una crítica a los mercantilistas aduciendo que éstos confundían riqueza con atesoramiento. Smith estaba a favor del libre comercio y creía que éste podía ser mutuamente beneficioso y lo justificaba por medio de un concepto: la ventaja absoluta. Afirma: “Es la máxima de todo jefe de familia prudente nunca intentar tratar de producir en casa lo que le costaría más producir que comprar (zapatero a sus zapatos) Y que ese mismo principio debía aplicarse a las naciones”. (Smith, 1776)

Para David Ricardo, el modelo de las ventajas comparativas es uno de los conceptos básicos que fundamenta la teoría del comercio internacional y demuestra que los países tienden a especializarse en la producción y exportación de aquellos bienes que fabrican con un coste relativamente más bajo respecto al resto del mundo, en los que son comparativamente más eficientes que los demás y que tenderán a importar los bienes en los que son más ineficaces y que por tanto producen con unos costes comparativamente más altos que el resto del mundo. “Cuando los países se especializan en la producción de aquellos bienes en los que poseen ventaja comparativa y los intercambian por otros bienes, aumentará la producción mundial de todos los bienes” (Ricardo, 1817)

Si bien, para Jhon Stuart Mill los impuestos son los causantes de encarecer las importaciones, Mill completó el estudio de las transacciones internacionales con otras partidas de la balanza de pagos distintos de la balanza de mercancías; los ajustes los reduce a movimientos de oro entre países con su correspondiente variación de los precios. Los efectos causados por las transferencias unilaterales son una pérdida de oro y, en consecuencia, un descenso de los precios por parte del país que las paga; al mismo tiempo, el país que las recibe aumenta sus reservas de oro y, con ellas, experimenta un aumento de precios. Por lo tanto, la relación real de intercambio empeora para el país que realizó las transferencias; pero también le originará una mayor exportación debido al descenso de sus precios y menor importación por haberse encarecido los precios en el otro país. (Mill, 1848)

Por otro lado, Heckscher – Ohlin, desarrollaron un modelo llamado “Modelo de dotación de los factores”, que se concentra en los factores de producción, tierra, capital y trabajo. Suponen fronteras tecnológicas entre países, en los cuales existen productos con similares cualidades, se postula la intensidad (abundancia) de los factores de producción como variable que hace la diferencia en cuanto al establecimiento de la ventaja comparativa. Además, este modelo explica que la única fuente del comercio son las diferencias en los recursos de los países; es decir, que cada país exporta aquel bien que usa en forma intensiva, el factor que es relativamente abundante en dicho país, lo cual originaria la ventaja comparativa. Las ventajas comerciales obedecen a una dotación de factores, diferentes en cada país; así, los países están dotados de diversos factores y esa diversidad explica las diferencias en los costos de producción de un bien; cuanto más abunda un factor, resulta más barato producir un bien. (Heckscher, 1919)

Sí el trabajo fuese el único factor de producción, como suponía el modelo Ricardiano, la ventaja comparativa podría surgir únicamente de las diferencias internacionales en la productividad del trabajo. El modelo predice que si un país tiene una abundancia relativa de un factor (trabajo o capital), tendrá una ventaja comparativa y competitiva en aquellos bienes que requieran una mayor cantidad de ese factor, o sea que los países tienden a exportar los bienes que son intensivos en los factores con que están abundantemente dotados.

El modelo de Porter, explica que las ventajas comerciales que tienen un país sobre otro van más allá de la productividad y la dotación de factores. Porter desarrolló una teoría de la competitividad nacional basada en las causas de la productividad, porque sólo es ésta la única variable que puede explicar la competitividad de una nación, en lugar de lo que explicaba la teoría clásica (ventajas comparativas tradicionales) mencionadas por David Ridcardo; por lo tanto, la prosperidad nacional no se hereda, sino que es creada por las oportunidades que brinda un país a sus empresas, pues son las únicas responsables de crear ventaja competitiva mediante actos de innovación. (Porter, 1979).

Para Marshall la determinación de los precios de mercado (y no el precio natural) es uno de los principales problemas de estudio, de modo que la demanda toma un sitio natural al lado de la oferta. De otro lado, porque la demanda se convierte en un concepto general, pertinente para el conjunto de los mercados (productos, factores, bienes y servicios, activos reales y financieros,...)

El modelo teórico adoptado para la estimación de la función agregada de importaciones basada en la teoría de la demanda, conlleva a suponer que la elasticidad de oferta de importaciones es infinita; es decir, que el volumen de los intercambios comerciales no conduce a variaciones de los precios; estimando por tanto, una función de demanda, en la que, además de la demanda interna y competitividad se incluye la protección nominal.

Basados en los fundamentos de la teoría de la demanda, “las importaciones de un país dependen de su renta o de su capacidad de compra y de la competitividad de los bienes producidos en el interior de la economía frente a la producción exterior” (Coral & Esther, 1998), dado un incremento de la demanda de un país, por ejemplo de Colombia, mayor será la utilización de los recursos productivos (maquinaria, fuerza de trabajo, instalaciones, etc.) de este país, reduciendo la capacidad para producir, debido a que se están utilizando mayores factores de producción para satisfacer los incrementos de la demanda hasta llegar a un stock de producción, dado que los países, en este caso Colombia, tienen una capacidad productiva determinada; si esta demanda no es satisfecha al corto plazo demandaran productos en el exterior, incrementando finalmente las importaciones.

El marco analítico habitualmente utilizado para la estimación de las ecuaciones de comercio exterior, como lo establecen Gordo, Coral, Martínez y Tello (2009), se basa en la teoría de la demanda, donde el agente importador, como cualquier otro consumidor, maximiza su función de utilidad sujeto a una restricción presupuestaria, bajo el supuesto crucial de que la elasticidad de la oferta es infinita. En este sentido, la demanda de las importaciones depende de la renta de los consumidores nacionales y de los precios de las mercancías extranjeras en relación con el de los bienes sustitutivos de producción nacional.

En consecuencia, las variables relevantes en la explicación de la demanda de importaciones consideradas tradicionalmente son, por un lado, la capacidad de gasto de los agentes demandantes de bienes importados y, por otro, los factores que afectan la competitividad de los productos interiores frente a la producción exterior. En cuanto a la variable que aproxima la renta nacional, una posibilidad es considerar la demanda final en conjunto o algunos de sus componentes (consumo privado, inversión en bienes de equipo y exportaciones). Por otro lado, para medir el grado de competitividad se contempla la utilización de dos medidas alternativas de los precios interiores: el deflactor del PIB y el índice de precios industriales. García et al., (2009).

Los efectos de una devaluación real del peso se manifestarán por dos vías, sobre la demanda de importaciones; por un lado, sus efectos sobre el ingreso real, que se podrán detectar en la variable correspondiente; y por otro, sus efectos de sustitución y de reducción de la absorción con respecto al ingreso, que se captarán en el coeficiente de los precios relativos . (Villar G, 1985).

Los aranceles a la importación (impuestos sobre las importaciones) y los subsidios a la exportación (pagos efectuados a los productores nacionales que venden bienes en el extranjero) suelen producirse por razones de distribución de la renta, para promover industrias consideradas cruciales para la economía o por razones relacionadas con la balanza de pagos. Sin embargo, producen efectos sobre la relación de intercambio que pueden ser entendidos utilizando el modelo estándar de comercio, ya que crean diferencias entre los precios de los bienes que son intercambiados en el mercado mundial y dentro del país. El efecto directo de un arancel es hacer que los bienes importados sean más caros dentro del país. Por ejemplo, si un país impone un arancel a un bien Y, su precio en relación al bien X (bien en el que se basan sus exportaciones) para los productores y consumidores nacionales será más alto que el precio relativo del mercado mundial. Por ende, el precio relativo del bien X será menor, ya que se producirá más del bien Y y se producirá menos del bien X, el efecto en conjunto es que la oferta relativa del bien X disminuirá pero su demanda relativa aumentará, incrementando el precio del bien X, y así la relación de intercambio del país mejora. (Coila Curo, 2013).

En las funciones de exportación e importación la competitividad incorpora precios, calidad de las exportaciones mediante la tecnología (gasto en I+D sobre el PIB). Según Martín (1994), con el gasto en I+D sobre el PIB se pretende contrastar si aquellos sectores con un esfuerzo tecnológico favorable presentan un mayor volumen de importaciones. Esta hipótesis se enmarca dentro de la evidencia empírica de las teorías neotecnológicas, cuyos modelos tratan de explicar la especialización comercial de los países, incorporando las condiciones tecnológicas de éstos como determinantes del comercio.

El modelo de desfase tecnológico de Posner (1961) y el del ciclo del producto de Vernon (1966) son los desarrollos teóricos pioneros en este campo. Asimismo, la participación de la inversión extranjera directa (IED) dado el papel que ha adquirido recientemente, tras la apertura de muchos países en vías de desarrollo. De acuerdo con la literatura económica sobre la conducta de las empresas multinacionales, la inversión directa podría ser una vía para consolidar y ampliar los mercados de exportación . Es más, dado que algunas de las ventajas competitivas de estas empresas reflejan en activos intangibles, alta tecnológica, capacidad de innovar, poder negociador, redes de comercialización, de difícil valoración, las empresas multinacionales prefieren explotarlas de forma interna a través de la inversión directa en lugar de la exportación. Por ende, podría esperarse que las empresas participadas por capital extranjero presenten mayor volumen de importaciones, que las de capital nacional (Martín, 1994).

La consideración de ambas variables (IED e I+D) tiene sustento teórico en los desarrollos de la Nueva Teoría del Comercio que enfatizan la influencia de estas variables en la determinación del comercio de bienes. La IED en un país puede reducir las importaciones si las empresas extranjeras tienen como objetivo primordial abastecer el mercado doméstico y producir bienes que antes se importaban. Pero también puede incrementarlas, si estas empresas multinacionales instaladas en territorio nacional son más proclives a importar materias primas o bienes intermedios de sus países de origen o de la casa matriz. (García, Gordo, Martínez, & Tello, 2009).

 

 

III. ANTECEDENTES

La literatura económica con respecto a las importaciones es bastante amplia, con muestra de diferentes varios modelos econométricos encaminados a identificar el comportamiento de las mismas con fines de acción para las futuras políticas económicas que podrían implementarse en diferentes países. Un primer trabajo corresponde a Hugo Oliveros y Luisa Fernanda Silva (2001), quienes realizaron el análisis econométrico de “La demanda de importaciones en Colombia” con el objetivo de crear modelos que expliquen el comportamiento de las importaciones colombianas, para diferentes grados de agregación (totales, bienes de capital y equipo de transporte, materias primas e insumos para la industria) durante las últimas dos décadas donde la estimación de las demandas de importaciones se han considerado que mantienen una relación de equilibrio de largo plazo con el ingreso y los precios relativos.

La siguiente referencia corresponde a Juan Nicolás Hernández (2005), con el modelo econométrico “La demanda de importaciones para el caso Colombiano: 1980 – 2004”. En este trabajo se explora la existencia de una relación de largo plazo entre la demanda de importaciones totales, de bienes de consumo, de bienes intermedios y de bienes de capital con el ingreso interno y la tasa de cambio real. “De las combinaciones realizadas para el caso de importaciones totales fue aquella que involucra el índice construido a partir del PIB real desestacionalizado y el índice de tasa de cambio real medido con el IPP total, además de las importaciones totales y dummies de ajuste estacional”

En el trabajo realizado por Hernando Rendón Obando “Modelación econométrica de la demanda de importaciones de Antioquia” se puede confirmar la consideración de que las importaciones dependen del producto real (PIB) y los precios relativos de las importaciones (TCR), donde existe una relación directa con las importaciones. Los datos son: MA= importaciones agregadas en millones de dólares de 1990, utilizando como deflactor el índice de precios al por mayor de USA, PRI= índice de precios relativos de las importaciones, ajustado con el arancel promedio, utilizando como precios externos el valor unitario de las importaciones de Colombia, con base en 1990 y con precios domésticos el índice de precios al productor con base de 1990.

Un estudio más reciente en el 2016 es el trabajo realizado por Raisa Sánchez Farfán, “Modelo econométrico de importaciones para el Perú 1993-2016” se analiza el nivel de incidencia que tiene el tipo de cambio real y el índice del PIB nacional sobre el nivel de importaciones del Perú, en el periodo de estudio comprendido entre 1993 y 2016 a través de modelos econométricos como MCO, test LM (Test Breusch-Godfrey) y descomposición de la varianza.

 

                                  

IV. METODOLOGÍA

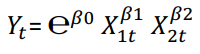
El modelo de importaciones Colombianas pretende evidenciar el efecto conjunto en términos de crecimiento porcentual, del PIB real, la Tasa de Cambio Real sobre el nivel de las importaciones; en este sentido la forma funcional que adopta el modelo es LOG- LOG el cual mide el cambio porcentual de Y (M) ante un pequeño cambio porcentual en X (PIB, TCR) que permite medir dicho efectos por medio de elasticidades. De esta manera el modelo resulta ser:

1

Que con el supuesto de linealidad equivale a

1

Donde

LNYt = importaciones, variable endógena

LNX1t = PIB, variable exógena

LNX2t = tasa de cambio real (TCR), variable exógena

μt = termino de error, variable estocástica

β0 = parámetro autónomo, mide el efecto de variables diferentes al PIB y a la tasa de cambio real sobre en las importaciones.

β1 = parámetro estadístico, mide el efecto que genera el PIB sobre las importaciones.

β2 = parámetro estadístico, mide el efecto que generan la tasa de cambio real sobre las importaciones.

Partiendo del análisis teórico en el marco del comercio internacional y en el análisis de algunos de los determinantes que influyen en el comportamiento de las importaciones colombianas se realizó un modelo econométrico basado en el método de estimación Log – Log que se planteó a partir de la teoría económica y la evidencia empírica encontrada.

Se especifica un modelo logarítmico, por el cual las importaciones (M) como variable dependiente se explican por las siguientes variables:

• PIB real correspondiente a cada año de análisis

• Tasa de Cambio Real para cada año de análisis

1

 

Donde las importaciones colombianas (MCol) dependen positivamente del Producto Interno Bruto Real (PIBReal) y negativamente de la Tasa de Cambio Real (TCReal).

Desde el punto de vista macroeconómico, un incremento en la renta nacional provoca un aumento de la demanda nacional de todos los bienes, tanto extranjeros como interiores; por tanto, un aumento de la renta nacional provoca un aumento de las importaciones. Sin embargo, la relación de la tasa de cambio real con respecto a las importaciones es negativa dado que cuanto más apreciada en términos reales está una moneda o cuantos más baratos son los bienes extranjeros en relación con los bienes interiores, mayor es la demanda nacional de bienes extranjeros y, por tanto, mayor será el volumen de importaciones.

 

V. RESULTADOS

Tabla 1
Estimación del modelo.

1

Fuente: Elaboración propia de estimación de modelo, 2000 – 2016 Software Eviews

1

 

INTERPRETACIÓN DE LOS B´

B´0 = dejando de lado el PIB y la TCR o cuando estas son iguales a cero, las importaciones toman el valor de -11.7118 %

´B1 = Ceteris Paribus, si el PIB se incrementa en 1%, las importaciones se incrementan en 1.919886%

´B2 = Ceteris Paribus, si la TCR se incrementa en 1%, las importaciones se reducen en 0.226504%

 

Interpretación de R2

El 99.29% de los cambios que se dan en las importaciones se explican por los cambios dados en el PIB y la TCR. Por tanto, el modelo tiene una aceptable bondad de ajuste.

Interpretación de -R2

El 99.19% de los cambios generados en las importaciones se explican por los cambios dados en el PIB y la TCR, ajustado por los grados de libertad.

Interpretación de 1 -R2

1 – 0.992884 = 0.007116 El 0.7116% de los cambios generados en las importaciones, se deben a factores diferentes al PIB y a la TCR.

Interpretación de R2 - |R2

0.992884 – 0.991868 = 0.001016 La necesidad de introducir una nueva variable exógena X es del 0.1016%, siendo menor al 10%, por ende, no hay necesidad de agregar más variables al modelo.

Análisis criterios de información

Akaike info criterion = -3.485947

Schwarz criterion = -3.338910

Hannan-Quinn criter = -3.471332

Estos son los mejores criterios de información ya que, comparados con otros modelos hechos en la investigación, son los que más se acercan a cero.

Prueba f de Fisher

En el modelo planteado el valor P = 0.000000, con lo cual se rechaza la Ho, aceptando que el PIB y la TCR conjuntamente si son estadísticamente significativos en la explicación de las importaciones.

Interpretación valor p

Con el 99.999% de confianza, el PIB y la TCR son significativos en la explicación de las importaciones.

 

Prueba T de student. Prueba T para ̂ B1

En el modelo previamente establecido P = 0.0000. Este resultado se debe restar a una unidad que representa el 100%, para determinar el grado de confianza. En este caso tenemos que 1 – 0 = 100%

Con el 100% de confianza el PIB si es estadísticamente significativo en la explicación de las importaciones.

Una regla practica para determinar la significancia de una variable en el programa Eviews es que el valor de t-Statistic sea superior a 2, para este caso el valor es de 42.49834, superior a 2 con lo cual se afirma que el PIB si es significativo en la explicación de las importaciones.

 

Prueba T para ̂ B2

La hipótesis nula (Ho) dice que la TCR no es estadísticamente significativa en la explicación de las importaciones.

El modelo indica que el valor P para la variable TCR es igual a 0.0023, este resultado se debe restar a una unidad que representa el 100% para determinar el grado de confianza. En este caso tenemos que 1 – 0.0023 = 0.9977%

Con el 99.88% de confianza la TCR si es estadísticamente significativo en la explicación de las importaciones.

Utilizando la regla practica para determinar la significancia t-Statistic es igual a -3.726825, estando por debajo del -2, (en este caso negativo porque se trabaja con la parte izquierda de la gráfica de normalidad), por ende, se rechaza hipótesis nula y se afirma que la TCR si es significativa en la explicación de las importaciones.

Supuesto de no multicolinealidad.

En nuestro modelo realizando la prueba Variance inflation factor la variables explicativas presentan valores pequeños.

Tabla 2
Variance Inflation Factor

1

Fuente: elaboración propia, estimación de multicolinealidad, 2000- 2016 Software Eviews

 

El cual no indica que son menores que 10 o son cercanos a 0, con esta prueba las variables explicativas no presentan multinolinealidad, sin embargo se realiza una prueba de correlaciones.

La hipótesis nula (Ho) dice que las variables explicativas no presentan Multicolinealidad La hipótesis alterna (H1 ) dice que las variables explicativas presentan Multicolinealidad.

Tabla 3
Matriz de correlaciones

1

Fuente: elaboración propia, estimación de multicolinealidad, 2000- 2016 Software Eview

 

La matriz de correlación nos muestra en su diagonal con valor igual a 1, lo que es lógico y la correlación las variables lnPIB y lnTCR son pequeños -0.192599172 lo que sugiere la no presencia de multicolinealidad en el modelo y se acepta la hipótesis nula.

Posteriormente se realizan regresiones auxiliares, es decir la regresión de cada variable explicativa sobre las demás variables.

 

Supuesto de Homocedasticidad

 

Tabla 4
Test de White

1

Fuente: elaboración propia, heterocedasticidad, 2000 – 2016 Software Eviews

 

La prueba general de heterocedasticidad de White nos da como resultado un valor p de 0,12

La Hipótesis nula (Ho): valor p > 0,5 se acepta que el modelo es homocedastico.

La Hipótesis nula (H1 ): valor p < 0,5 se rechaza la hipótesis nula y se acepta que el modelo presenta problema de heterocedasticidad.

Como el valor p es de 0,1234 se acepta que el modelo es homocedastico.

Prueba de Park.

Tabla 5
Prueba de Park

1

Fuente: elaboración propia, prueba de Park, 2000- 2016 software Eviews

El procedimiento concreto de la prueba Park consiste en plantear regresiones de los residuos al cuadrado en función de una o varias variables explicativas y analizar la significación conjunta de la regresión.

Si la regresión es significativa indica que existe heteroscedasticidad y nos da la pauta sobre la estructura de la varianza de las perturbaciones.

La hipótesis nula (Ho) nos dice que conjuntamente el PIB y la Tasa de Cambio Real no son estadísticamente significativos en la explicación de los residuos al cuadrado.

El valor P, es decir el valor de probabilidad para cometer error tipo I que consiste en rechazar la Ho siendo verdadera, debe tender a cero para poder rechazar la Ho, resaltando que P debe tender a cero si y solo si la Ho es una negación.

En nuestro modelo el valor P = 0.970636, con lo cual se acepta la Ho, aceptando que el la Tasa de Interés, el PIB y la Tasa de Cambio conjuntamente no son estadísticamente significativos en la explicación de los residuos al cuadrado y por lo tanto el modelo sigue cumpliendo el supuesto de homocedasticidad.

Supuesto de no autocorrelación.

La prueba Durbin Watson toma un valor de 1,674580, el cual se encuentra en la zona de aceptación de la Hipótesis nula donde no hay auto correlación:

1

Figura 1
Prueba Durbin Watson
Fuente: elaboración Propia en Referencian a Econometría 1 Universidad de los Andes

Con respecto a la prueba Breushc- Godfrey la cual se aplica al modelo bajo las siguientes hipótesis:

 

Ho: En el modelo el término de perturbación no está auto correlacionado

H1 : En el modelo el termino de perturbación esta auto correlacionado.

El valor de prob. F (1,13) a 1 rezago es de 0,9401 el cual está por encima del valor 0,05; 0,9401>0,05 donde se acepta la Ho de que en el modelo el termino de perturbación no está correlacionado.

Tabla 6
Prueba Breushc- Godfrey 1 rezago

1

Fuente: elaboración propia, prueba Breushc- Godfrey, 2000 – 2016 Software Eviews

 

Cuando lo realizamos a 2 resagos El valor de prob. F (2,12) es de 0,9010 el cual está por encima del valor 0,05; 0,9010>0,05 el cual aceptamos la Ho de que en el modelo el termino de perturbación no está correlacionado.

 

Tabla 7
Prueba Breushc- Godfrey 2 rezago

1

Fuente: elaboración propia, prueba Breushc, 2000 – 2016 Software Eviews

 

Prueba de spearman (coeficiente Rho)

Tabla 8
Correlaciones

1

Fuente: elaboración propia, estimación de multicolinealidad, 2000- 2016 software Stata

Procediendo el análisis de auto correlación, realizamos análisis de las variables explicativas. PIB y Tasa de Cambio Real

Ho: En el modelo no está auto correlacionado

H1 : En el modelo esta auto correlacionado

Si los sig>0,05 se acepta la Hipótesis Nula de que el modelo no está auto correlacionado, y los valores p de las intersecciones observamos que son >0,05 aceptamos que el modelo no está auto correlacionado.

 

Prueba Reset de Ramsey

Tabla 9
Reset Test

1

Fuente: elaboración propia, estimación de multicolinealidad, 2000- 2016 software Eviews

Ho: el modelo se encuentra correctamente especificado en su forma funcional.

H1 : el modelo presenta problemas de especificación.

Por tanto lo que se busca es aceptar la Ho, para esto es necesario que el valor de probabilidad del t-statistic sea superior al 5%, en el modelo la probabilidad del t-statistic es 0.3171, es decir 31.71%, con lo cual se acepta la Ho, afirmando que el modelo se encuentra correctamente especificado en su forma funcional.

 

Supuesto de Normalidad

Tabla 10
Shapiro-Wilk

1

Fuente: elaboración propia, estimación de multicolinealidad, 2000- 2016 software Stata

Realizando la prueba de Shapiro-Wilk y utilizando las hipótesis:

• Ho: los errores se distribuyen normalmente.

• H1: los errores no se distribuyen normalmente.

Si sig<0,05 se rechaza la Hipótesis nula, si Sig>0,05 se acepta la Hipótesis nula.

Dada la prueba se tiene un valor sig= 0,280 en el modelo por lo que hay suficiente evidencia de que los errores se distribuyen normalmente, y 0,280>0,05, se acepta la Hipótesis nula.

 

METODOLOGÍA PARA EL MANEJO DE DATOS

 

Para la estimación del modelo de importaciones se contó con una muestra de 17 observaciones, constituidas por datos del PIB real y la tasa de cambio real correspondiente al periodo de 2000- 2016.

En cuanto al PIB real se decidió trabajar con los datos del año 2005 dada la relativa actualidad de los mismos, los cuales fueron extraídos de la página del Banco de la Republica.

Para el cálculo del tipo de cambio real, fue necesario contar con una serie del tipo de cambio nominal de 2000 a 2016, además del índice de precios al consumidor (IPC) para Colombia y Estados Unidos, dado que las importaciones de Colombia se pagan en dólares estadounidenses , para el año 2005 en los dos casos. A partir de estas cifras, se realiza el cálculo de la TCR utilizando la siguiente formula:

TCR= IE (IP*/IP)

Dónde:

• TCR = Tasa de cambio real

• IE = Índice de tasa de cambio nominal

• IP*= Índice de precios externos

• IP = Índice de precios internos

La razón por la cual se utilizan estos indicadores macroeconómicos en términos reales, es para realizar un mejor análisis, ya que de esta manera se elimina la distorsión causada por la inflación, especialmente cuando esta es muy elevada, dado que el solo incremento de los precios de los bienes y servicios pueden aumentar el PIB, sin que se haya producido un incremento efectivo en la producción nacional.

 

IV. CONCLUSIONES

De acuerdo a los resultados obtenidos, en general se sigue una tendencia común entre las importaciones, el PIB y la Tasa de cambio real, resaltando la importancia que tiene la aplicación de políticas monetarias en la demanda de importaciones en Colombia. A pesar de que existen diferentes factores que no se estudian en este artículo pero que son muy relevantes en el tema y que inciden significativamente sobre la fluctuación de las importaciones, el PIB real y la TCR real son las más significativas para explicar la dinámica de las importaciones en Colombia según un análisis estadístico y empírico.

Una política de industrialización por sustitución de importaciones brindará a la nación un aumento del empleo local, a través de la ampliación del mercado industrial, una menor dependencia de los mercados externos y su volatilidad, y mejoramiento de los términos de intercambio.

A partir del estudio realizado, las referencias del marco teórico y la evidencia empírica encontrada se concluye a manera de recomendaciones la evidente necesidad que tiene Colombia de diversificar su aparato productivo en un mundo globalizado, incentivando tanto el agro como la industria a través de la constante innovación.

Considerado la variable de mayor impacto dentro del modelo (PIB), la recomendación que se brinda corresponde al modelo de industrialización por sustitución de importaciones, como lo postulado por la escuela cepalina para el caso de Latinoamérica, a través de representantes como Osvaldo Sunkel, es fomentar el desarrollo de industrias locales para que produzcan bienes que están siendo importados, a través de mecanismos de política económica, como lo son los incentivos fiscales y crediticios o la protección comercial.

 

 

M=f(Y,PRM) fy > 0; fPRM < 0, siendo M, las importaciones no energéticas en términos reales; Y, la demanda final a precios constantes y PRM, el precio de las importaciones en relación con los precios nacionales, teniendo en cuenta la protección nominal arancelaria. Buisan y Gordo (1994) incorporan la protección nominal en la estimación de las importaciones procedentes del resto del mundo. Sus resultados constatan una mayor elasticidad de las importaciones a las variaciones de los aranceles que a las del índice de precios; por tanto, la no consideración de los derechos arancelarios puede generar un sesgo a la baja en la elasticidad del precio. Ver Buisan y Gordo (1994). Funciones de Importación y Exportación de la Economía Española. Investigaciones Económicas. Vol. XVIII. Disponible en: https://www.researchgate.net/profile/Esther_Gordo/publication/5108151_Funciones_de_importacion_y_ exportacionde_la_economia_espanola/links/0912f51120e64da75d000000.pdf

Desde el punto de vista macroeconómico, un incremento en la renta nacional provoca un aumento de la demanda nacional de todos los bienes, tanto extranjeros como interiores; por tanto, un aumento de la renta nacional provoca un aumento de las importaciones.

En relación con el tipo de cambio real, cuanto más apreciada en términos reales está una moneda o cuantos más baratos son los bienes extranjeros en relación con los bienes interiores, mayor es la demanda nacional de bienes extranjeros y, por tanto, mayor será el volumen de importaciones.

La importancia de las transacciones intraempresa que se generan como consecuencia de la existencia de elevadas participaciones de inversión extranjera puede tener una implicación en la respuesta del comercio de un país ante variaciones en la renta y en los precios. Así, en la medida que la inversión extranjera y, por tanto, el comercio intraempresa está especialmente localizado en industrias de tecnología intensiva, los productos que se intercambian entre las filiales de una empresa multinacional tienen un numero escaso de sustitutos cercanos. Por ende, es razonable pensar que las importaciones intraempresa sean menos sensibles a las variaciones de los precios y renta.

Ver Anexo tabla No 1 para contemplar los resultados

Ver Anexo tabla No 2 para contemplar los resultados.


 

Referencias

(1) Buendía Rice, E. A. (Diciembre de 2013). realyc.org. Obtenido de El papel de la Ventaja Competitiva en el desarrollo económico de los países [En línea] Disponible en: http:// www.redalyc.org/pdf/413/41331033004.pdf

(2) Cermeño S, R., & Rivera Ponce, H. (Abril de 2015). Redalyc.org. Obtenido de La demanda de importaciones y exportaciones en México en la era del TLCAN. Un enfoque de cointegración, [En línea] Disponible en: http://www.redalyc.org/pdf/313/31344126005.pdf

(3) Coila Curo, M. (2013). repositorio.unap.edu.pe. Obtenido de Factores Determinantes de las Importaciones en el Perú: Periodo 1996 - 2012, [En línea] Disponible en: http://repositorio.unap.edu.pe/bitstream/handle/UNAP/1815/Coila_Curo_Margoth.pdf?sequence=1&isAllowed=y

(4) Coral, G., & Esther, G. (1998). Banco de España. Obtenido de Funciones Trimestrales de Exportación e Importación para la Economía Española [En línea] Disponible en : https://www.bde.es/f/webbde/SES/Secciones/Publicaciones/PublicacionesSeriadas/ DocumentosTrabajo/98/Fic/dt9822.pdf

(5) García, C., Gordo, E., Martínez, J., & Tello, P. (2009). www.bde.es. Obtenido de Una Actualización de las Funciones de Exportación e Importación de la Economía. [En línea] Disponible en: https://www.bde.es/f/webbde/SES/Secciones/Publicaciones/PublicacionesSeriadas/ DocumentosOcasionales/09/Fic/do0905.pdf

(6) Gómez, L. J. (1632 -1687). PENSAMIENTO ECONÓMICO DE WILLIAM PETTY.

(7) Hernández, J. N. (2005). Demanda de importaciones para el caso Colombiano: 1980 – 2004. Borradores de economía

(8) Heckscher, E. (1919) (s.f.). The Effect of foreing trade on the distribution of income . Ekonomisk Tidskrift

(9) Houthakker, H. (2010). Consumer Demand in the United States. Springer-Verlag New Yor.

(10) Krugman, P. R., Obstfeld, M., & Melitz, M. J. (2012). Economía Internacional. Teoría y Política. Madrid, España: Pearson Educación, S.A. 9° Edición.

(11) Lombana, J., & Gutiérrez, S. R. (Diciembre de 2008). scielo.org.co. [En línea] Disponible: http://www.scielo.org.co/pdf/pege/n26/n26a02.pdf

(12) Martín, L. M. (1994). Revista de Economia Aplicada. [En línea] Disponible en: https://www.researchgate.net/profile/Lourdes_Martin/publication/232707900_ Determinantes_de_las_importaciones_de_productos_industriales_procedentes_de_la_ CE/links/0fcfd50ce0523c4831000000.pdf

(13) Marshall, A. (1890). Principios de economía. Editorial Síntesis S. A.

(14) Mill, J. S. (1848). principios de economía política. fondo de cultura económica.

(15) Mun, T. (1954). la riqueza de inglaterra por el comercio exterior. Fondo De Cultura Económica. Página 147

(16) Oliveros, H., Silva, L. (2001). La demanda de importaciones en Colombia. Bogotá, Colombia

(17) Porter, M. E. (1979). How competitive forces shape strategy. Harvard Business Review.

(18) Posner, Michael V. (1961), International Trade and Technical Change, in: Oxford Economic Papers, Jahrgang 13, Nr. 3, 1961, S. 323–341.

(19) Rendon, H. (2000). Modelación econométrica de la demanda de importaciones de Antioquia. Medellín, Colombia.

(20) Ricardo, D. (1817). Principios de Economía Política y de Tributación. Jhon Murray.

(21) Sánchez, R. (2016). Modelo econométrico de importaciones para el Perú 1993-2016.

(22) Smith, A. (1776). Una investigación sobre la naturaleza y causas de la riqueza de las naciones . W. Strahan & T. Cadell

(23) Vernon, R. (1966), International Investment and International Trade in the Product Cycle, Quarterly Journal of Economics.

(24) Villar G, L. (Diciembre de 1985). Banrep.gov.co. Obtenido de Determinantes de las importaciones en Colombia: [En línea] Disponible en: http://www.banrep.gov.co/sites/default/files/publicaciones/archivos/espe_008-3.pdf

(25) Vernon, R. (1966), International Investment and International Trade in the Product Cycle, Quarterly Journal of Economics.

 


ANEXOS

Tabla 1
Tasa de cambio real

1

Fuente: Elaboración propia.

 

Tabla 2
Modelo de importaciones

1

Fuente: Elaboración propia.