ESTIMACIÓN DE LA PROBABILIDAD DE PARTICIPAR EN EL CARNAVAL DE NEGROS Y BLANCOS DE PASTO, COLOMBIA MEDIANTE MODELOS DE ELECCIÓN DISCRETA BINARIA: LOGIT Y PROBIT
ESTIMATION OF THE PROBABILITY OF PARTICIPATING IN THE BLACKS AND WHITES’ CARNIVAL OF PASTO, COLOMBIA THROUGH BINARY DISCRETE CHOICE MODELS: LOGIT AND PROBIT
ESTIMATIVA DA PROBABILIDADE DE PARTICIPAÇÃO NO CARNAVAL DE NEGROS E BRANCOS DE PASTO, COLOMBIA MEDIANTE MODELOS DE ELEIÇÃO DISCRETA BINÁRIO: LOGIT E PROBIT
Por: Mario Eduardo Hidalgo Villota1
1Economista, Profesor de Tiempo Completo adscrito al Departamento de Economía, Facultad de Ciencias Económicas y Administrativas, Universidad de Nariño, Pasto, Colombia. Integrante Grupo de Investigación en Desarrollo Regional - IDER del Centro de Estudios de Desarrollo Regional – CEDRE de la Universidad de Nariño. Email: mariohidalgo@udenar.edu.co, Colombia.
Recibido: 4 de abril de 2018 Aprobación definitiva: 30 de noviembre de 2018
Resumen
El Carnaval de Negros y Blancos que se realiza en la ciudad de Pasto, Colombia, fue declarado por la UNESCO como Patrimonio Cultural Inmaterial de la Humanidad en 2009. El objetivo de este artículo es estimar la probabilidad de que un individuo (residente local, visitante nacional o extranjero) pueda participar o no como espectador cultural en el Carnaval; para ello se utilizó modelos logit y probit, cuyos resultados permiten concluir que la participación depende en forma inversa de la edad; y de manera directa, del nivel educativo y de la renta personal de los individuos. Del mismo modo, estos modelos predicen una alta probabilidad de participación de 96,5% y 97,0%, respectivamente.
Palabras clave: Carnaval de Negros y Blancos de Pasto, modelos logit y probit, economía de la cultura y bienes culturales.
Abstrac
The Blacks And Whites’ Carnival that takes place in the city of Pasto, Colombia, was declared by UNESCO as Intangible Cultural Heritage of Humanity in 2009. The objective of this article is to estimate the probability a person (local resident, visitor national or foreign) may or may not participate as a cultural spectator in the Carnival; for this, logit and probit models were used, and the results allow to conclude that participation in the carnival depends inversely on age; and directly, of the educational level and the personal income of the individuals. Similarly, these models predict a high probability of participation of 96.5% and 97.0%, respectively.
Keywords: The Black and White Carnival from Pasto, logit and probit models, economy of culture and cultural goods.
JEL: C25, D12, H41, Z10
Resumo
O Carnaval de Negros e Brancos que se realiza na cidade de Pasto, Colômbia foi declarado pela UNESCO como Patrimônio Cultural Imaterial da Humanidade, em 2009. O objetivo deste artigo é estimar a probabilidade de que um Indivíduo (residente local, visititante nacional ou extrangeiro) possa participar ou não como expcatador cultural do carnaval, para isto se utilizou o modelo logit e probit, cujos resultados permitem concluir que a participação depende da forma inversa da idade, de maneira direta do nivel educacional e da renda pessoal dos Indivíduos. Deste modo, estes modelos predizem uma alta probabilidade de participação de 96.5% e 97%, respectivamente.
Palavras-chave: Carnaval de Negros e Brancos de Pasto, modelos logit e probit, economia da cultura e bens culturais.
JEL: C25. D12, H41, Z10
1. INTRODUCCIÓN
Aunque el carnaval ha sido analizado desde otros enfoques, poca importancia se ha prestado a su verdadera dimensión económica en términos de producción de bienes y servicios culturales, riqueza material y generación de puestos de trabajo. En este artículo de investigación con el apoyo de modelos de elección discreta binaria logit y probit se analiza la probabilidad de que un espectador cultural (residente local y visitante nacional o extranjero) participe en esta macro festividad del pueblo pastuso.
A lo largo de este artículo se precisa el significado y alcance del Carnaval de Negros y Blancos de Pasto como patrimonio cultural inmaterial de la humanidad, se analiza sintéticamente la relación entre economía y cultura, se describe el proceso metodológico utilizado, se realiza un caracterización por separado de los espectadores culturales del carnaval tanto locales como visitantes y finalmente, y finalmente, se estima la probabilidad de participar en el carnaval.
2. EL CARNAVAL DE NEGROS Y BLANCOS DE PASTO: UNA MACRO FESTIVIDAD POPULAR.
En la ciudad de San Juan de Pasto al sur de Colombia entre el 28 de diciembre y el 7 de enero de cada año se celebra el Carnaval de Negros y Blancos de Pasto, festividad cultural auténtica del pueblo pastuso catalogada por la UNESCO como Patrimonio Cultural Inmaterial de la Humanidad. Aunque el carnaval tiene su origen en Pasto, hace muchos años se ha extendido a casi todo el departamento de Nariño, convirtiéndose así en una festividad regional, por lo tanto, su impacto económico y social adquiere mayor dimensión.
“El Carnaval de Negros y Blancos de Pasto es la fiesta de todas y todos en comunión con libertad, juego, arte, creatividad, alegría y amor. Es la necesidad del ritual histórico que tienen los pastusos de resistir al tedio, sublimar el trabajo del artesano y soñar con otro tiempo y espacio que les permite ser desde el sentimiento, orgullo y reconocimiento para un pueblo de artistas, cultores, artesanos y trabajadores del campo”. (PES, 2010:3)
Mediante la Ley 706 del 26 de noviembre de 2001 el Carnaval de Negros y Blancos de Pasto fue declarado Patrimonio Cultural Nacional de Colombia. El Ministerio de Cultura a través de la Resolución No. 1557 del 24 de septiembre de 2007, declaró el Carnaval de Negros y Blancos de Pasto como bien de interés cultural de la Nación y finalmente, el 30 de septiembre de 2009 el Carnaval de Negros y Blancos de Pasto es reconocido por la UNESCO como Patrimonio Cultural Inmaterial de la Humanidad.
La Organización de las Naciones Unidas para la Educación, la Ciencia y la Cultura (UNESCO) en la Convención para la salvaguardia del Patrimonio Cultural Inmaterial celebrada en París en 2003, definió el Patrimonio Cultural Inmaterial como los usos, representaciones, expresiones, conocimientos y técnicas –junto con los instrumentos, objetos y artefactos y espacios culturales que le son inherentes-, que las comunidades, los grupos y algunos casos los individuos reconozcan como parte integrante del patrimonio cultural. Este patrimonio cultural inmaterial, que se transmite de generación en generación, es creado constantemente por las comunidades y grupos en función de su entorno, su interacción con la naturaleza y su historia, infundiéndoles un sentimiento de identidad y continuidad, y contribuyendo así a promover el respeto por la diversidad cultural y la creatividad humana
El Carnaval de Negros y Blancos de Pasto es sin duda alguna un dinamizador del turismo cultural tanto en el Municipio de Pasto como en el resto del Departamento de Nariño. En su proceso de internacionalización, el carnaval acoge a miles de turistas procedentes de muchos países del mundo, al igual que varios cultores del carnaval en repetidas ocasiones han mostrado la riqueza cultural de esta festividad en países con fiestas similares.
3. EL CARNAVAL DE NEGROS Y BLANCOS DE PASTO COMO BIEN ECONÓMICO CULTURAL.
La economía de la cultura y su interés por interrelacionar los aspectos culturales y económicos desde una perspectiva común es reciente. Adam Smith como padre de la economía clásica consideraba que las profesiones dedicadas al arte, la cultura y el esparcimiento no contribuían a la riqueza de las naciones, sino que por el contrario, pertenecían al ámbito del trabajo improductivo. En su célebre obra, así lo manifestó:
“[…] En la misma clase [trabajadores no productivos] deben colocarse otras muchas profesiones, tanto de las más importantes y graves, como de las más inútiles y frívolas: los jurisconsultos, los médicos, los hombres literatos de todas especies, clase muy importante y muy honrada; y los bufones, jugueteros, músicos, operistas, bailarines, figurantes, etcétera, que son de una ínfima jerarquía. El trabajo del mínimo de ellos […] nada produce que sea capaz por su valor real y permanente de comprar o adquirir igual cantidad de otro trabajo; porque perece en el momento mismo de su producción, como la declamación de un actor, la arenga de un orador, o el tono de un cantarín”. (Libro II, Cap. III, pág. 99, citado en Herrero, 2001, p.152).
Herrero (2001) afirma que Adam Smith también reconoce que estas profesiones poseen determinadas peculiaridades, como el ingenio, la admiración o la habilidad, las cuales exigirían una mayor remuneración.
“[…] La enseñanza en las artes de ingenio y profesiones liberales aún es más prolija y costosa. Por tanto, la recompensa de letrados y médicos, de pintores, escultores y arquitectos debe ser mucho más liberal y ventajosa, como lo es en efecto. […] Las crecidas remuneraciones de los cómicos, operistas, bailarines, jugadores de manos y otras gentes de esta clase, van fundadas sobre estos dos principios en algunas partes; es, a saber, la rareza y mérito de una habilidad sobresaliente y el descrédito con que emplean sus talentos”. (Libro I, Cap. X, págs. 171 y 178, Ibíd., p.152).
Aguado, L. et al (2017) afirman que: “como lo señalaron Greffe (2010) y muchos especialistas en la materia (Ginsburgh, 2001; Throsby, 1994), la llegada de los economistas al análisis del mundo artístico y cultural se produjo en 1966 con la publicación de Performing arts: The economic dilemma por parte de W. Baumol y W. Bowen. Las principales conclusiones de los autores se derivaron de la primera aplicación de la teoría y herramientas propias del análisis económico a un bien o servicio cultural, en ese caso las artes escénicas: los costos de producir estas crecían por encima de los demás sectores de la economía (enfermedad de los costos) y su demanda se restringía a un reducido segmento de población (la asistencia o participación de la gente es poca en las artes). La respuesta desde la política pública no se hizo esperar a través de la financiación pública a las artes escénicas para que estas no desaparecieran y los subsidios a los precios para incrementar la participación del público” (p. 200).
Según Aguado, Palma y Pulido (2017) en la historia del pensamiento económico los bienes culturales eran catalogados como bienes raros, excepcionales o poco importantes. “Este tipo de bienes no encajaban en el esquema analítico desarrollado por los economistas en los siglos XVIII y XIX. En efecto, algunas características indican que los bienes culturales no son reproducibles sino de carácter prototípico (p. ej., una pintura) y el fundamento de su valor está en el mensaje simbólico que emiten y que debe ser descifrado por quien los consume” (p. 201).
Si bien, en la antigüedad, la cultura era considerada como una actividad económica poco valiosa en términos de crecimiento económico para las naciones y la relación entre cultura y economía era difusa; hoy, las actividades relacionadas con la cultura o sus explotaciones como empleos del ocio, constituyen un sector económico de enorme dinamismo, y el interés por la cultura ha dado un salto cualitativo, de forma que constituye uno de los fenómenos más significativos de la denominada “civilización del ocio ”.
El Carnaval de Negros y Blancos de Pasto como patrimonio cultural inmaterial representa una creación cultural con carácter acumulado, con una perspectiva histórica y con un sentido de herencia, es un objeto único que merece ser salvaguardado. El carnaval vigoriza el consumo cultural como cualquier otro uso del ocio. Este tiene una trascendencia económica, en cuanto que las decisiones sobre el disfrute del tiempo libre responden a preferencias individuales y, por lo tanto, su uso constituye un bien susceptible de comercialización, y por lo tanto, de medición económica. El carnaval es un motor de promoción del turismo cultural que cumple lógicamente con la función de atracción de gasto en consumo, aumento de la producción, creación de puestos de trabajo y multiplicador de inversiones.
4. METODOLOGÍA
La estimación de la probabilidad de participación en el Carnaval de Negros y Blancos de Pasto con el uso de modelos de elección discreta binaria logit y probit se hizo a partir de la base de datos resultantes de la investigación realizada por el Centro de Estudios de Desarrollo Regional – CEDRE de la Universidad de Nariño con el apoyo financiero del Programa de Naciones Unidas para el Desarrollo, la Secretaría de Desarrollo Económico del Municipio de Pasto, la Dirección de Cultura del Departamento de Nariño y la Cámara de Comercio de Pasto en el marco del proyecto: “Identificación de oportunidades de empleo y emprendimiento en torno al Carnaval de Negros y Blancos de Pasto” propuesta ejecutada en el marco del Observatorio Regional del Mercado de Trabajo de Nariño.
La recolección de información primaria relevante se hizo mediante la aplicación de encuestas a espectadores locales del carnaval residentes en la ciudad de Pasto mediante muestreo aleatorio estratificado durante los meses de noviembre y diciembre de 2016, con una cobertura de 142 barrios de la ciudad de Pasto a partir de la determinación de submuestras estadísticas por estrato socioeconómico.
Tabla 1
Ficha técnica de la investigación

Fuente: Elaboración propia
Además, se aplicó 263 encuestas a turistas nacionales y extranjeros en el periodo comprendido entre el 28 de diciembre de 2016 -momento en que inicia la etapa de pre-carnaval con la apertura de Arcoíris en el Asfalto- y el 7 de enero de 2017 con la celebración del Festival del Cuy y la Cultura Campesina. La identificación y la toma de información a turistas contó con el apoyo del recurso humano al servicio de la Secretaría de Desarrollo Económico del Municipio de Pasto.
Para la estimación de la probabilidad de participación o no de un individuo en el carnaval se utiliza regresiones logit y probit con múltiples regresores, tales como: la edad medida en años cumplidos, el nivel educativo medido en años de estudio terminados y el ingreso personal medido en miles de pesos colombianos. Los coeficientes de los modelos logit y probit se estimaron por máxima verosimilitud utilizando 602 observaciones.
Stock y Watson (2012) definen las regresiones probit y logit como modelos de regresión no lineales diseñados específicamente para variables dependientes binarias. Debido a que una regresión con una variable dependiente binaria Ymodeliza la probabilidad de que Y = 1, tiene sentido adoptar una formulación no lineal que obligue a que los valores estimados estén entre 0 y 1.
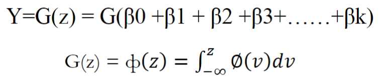
Donde X1, X2, XK son las variables explicativas Xi y la variable dependiente Y toma el valor de Yi = 1, si la persona participa como espectador cultural en el carnaval y Yi = 0 en otro caso (no participa). Esto obedece a que la esperanza condicional de Yi dado Xi, E(Yi |Xi) puede interpretarse como la probabilidad condicional de que el suceso tenga lugar dado Xi ; es decir, P(Yi = 1 | Xi). Así, por ejemplo, si E(Yi | Xi), corresponde a la probabilidad de que un individuo participe o no en el carnaval en función de las variables independientes Xi (en este caso: X1=edad, X2=educación y X3=ingreso personal). La variable respuesta Yi toma los valores 0 o 1. Entonces, si la probabilidad de Yi = 1, el suceso ocurre y si la probabilidad de Yi = 0, el suceso no ocurre.

Los modelos logit y probit son métodos econométricos de respuesta binaria, expresados de la siguiente forma:
(1)
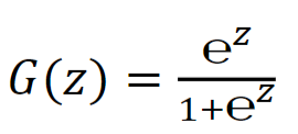
Se especifican como Y=G(Xβ) donde G es una función que toma valores estrictamente entre 0 y 1 (0<G(z)<1) para todos los números reales z.
Por lo tanto:
corresponde al modelo logit, cuya expresión es:
(2)
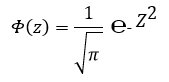
En el caso del modelo Probit tenemos:
Dónde:
es la función de densidad de la normal (0,1) (3)
5. CARACTERIZACIÓN DE LOS ESPECTADORES CULTURALES DEL CARNAVAL: LOCALES Y VISITANTES.
5.1 Espectadores culturales residentes en la ciudad de Pasto
Entre los espectadores culturales del Carnaval, la mujer pastusa juego un papel fundamental con un 61,8% frente a un 38,3% de participación de los hombres. El carnaval es una fiesta popular gratuita que beneficia de manera especial a los estratos socioeconómicos bajos, donde el 67,0% de los espectadores corresponden a los estratos 1 y 2. El 37,0% de los participantes en el carnaval es población joven en edades entre los 19 y 28 años. El 31,8% de los participantes son profesionales universitarios seguido de un 23,3% de bachilleres. El 82,0% de los espectadores perciben un ingreso o renta personal de hasta 2 salarios mínimos mensuales vigentes de 2017. Las personas ven en esta festividad, una oportunidad de ocio, de disfrute y bienestar individual y social.
El 81,2% de los espectadores culturales locales se deleitan de los diferentes eventos del carnaval, con una media de participación de 2,24 días en la etapa comprendida entre el 2 y el 7 de enero, periodo en el cual el carnaval despliega su mayor esplendor. El 28,9% tiene mayor preferencia por el Desfile Magno del 6 de enero, en especial, por la exhibición de la majestuosidad y creatividad de las carrozas y en menor orden de importancia, el 19,1% de los espectadores disfruta del desfile de los colectivos coreográficos que año tras año adquiere mayor expectativa, el 17,2% disfruta del tradicional desfile de la Familia Castañeda y el 16,2% de la población, en especial, niñas y niños, contemplan el Carnavalito, evento infantil que da apertura a la etapa carnavalera el 2 de enero de cada año.
Sin duda, el Carnaval de Negros y Blancos es una fiesta popular del pueblo pastuso. El 88,5% de las personas permanecen en la ciudad de Pasto en la época de carnaval y el 82,8% ha participado, al menos, en alguno de los eventos culturales característicos del carnaval. Es sorprendente observar, que el 48,3% de la población participa en forma permanente año tras año, es decir, son espectadores culturales leales del carnaval.
La inmersión de los hogares pastusos en el carnaval es representativa, en promedio 3,82 personas por hogar participan en las diferentes manifestaciones del carnaval. Entre los visitantes del carnaval, muchos corresponden a familiares y amigos de personas residentes en la ciudad de Pasto los cuales se alojan en dichos hogares en el periodo de fiestas decembrinas y carnaval.
A la pregunta: ¿En los últimos cinco años, en su vivienda han hospedado a turistas en época del carnaval?, el 16,3% responde positivamente y el 83,8% dice que no. De las personas que dieron una respuesta afirmativa, el 85,4% aloja a 0,67 personas en promedio. El 51,1% de la población lo hace por diversión y esparcimiento, el 20,5% se complace observando la creatividad de los artesanos y los espectáculos y el 15,1% se deleita de la cultura en términos generales. Una minoría del pueblo pastuso prefiere no participar en el carnaval. El 18,8% de las personas no se siente atraído, el 15,9% se molesta por el ruido, el polvo y otros aspectos, el 13,0% considera que no hay innovación entre uno año y otro y el 11,6% se sienten impedidos de participar por enfermedad.
5.2 Espectadores culturales visitantes o turistas
En lo que respecta a los visitantes o turistas del carnaval, el 53,1% son hombres y el 46,9% corresponde a mujeres. El 80,8% son nacionales procedentes de otros departamentos de Colombia y el 19,2% son extranjeros tanto de Estados Unidos como de países europeos. El 51,7% son relativamente jóvenes en edades comprendidas entre 23 y 38 años; el 51,0% son solteros, el 72,4% son profesionales universitarios, muchos de ellos con estudios de posgrado. El 66,8% trabajan y el 42,2% perciben ingresos mensuales entre uno y tres salarios mínimos colombianos de 2017. Los extranjeros, en especial, sienten que el pueblo pastuso les brinda mucho afecto y les invita a participar en los diferentes eventos culturales.
El Carnaval de Negros y Blancos de Pasto como fiesta popular se ha promovido a nivel nacional y en el extranjero. Cada vez son las personas que quieren presenciar los espectáculos culturales, en especial, los desfiles típicos. El 42,3% de los turistas afirma haber visitado otros carnavales en Colombia y el mundo, es decir, son personas que sienten atracción por las tradiciones culturales de los pueblos, a su vez, son consumidores culturales.
El 43,7% de los turistas justifican su viaje como una oportunidad para presenciar los diferentes eventos y el 33,6% para visitar familiares y amigos. Los turistas no viajan solos, en promedio lo hacen en pareja; el 53,7% lo hacen en grupos de hasta 3 personas y el 40,8% en grupos de entre 4 y 5 personas. Únicamente, el 32,8% de los turistas viajan con menores de 12 años de edad (entre 1 y 2 menores). Los extranjeros prefieren viajar con personas mayores de 18 años.
El 52,1% de los visitantes se enteraron del carnaval a través de contactos con amigos y familiares, el 24,5% por medio de la televisión y 14,3% a través de la red de internet. El 89,2% de los turistas organizó su viaje por sí mismo y únicamente el 2,1% lo hizo apoyado por agencias de viaje. El turista es autónomo e independiente en la planeación y ejecución de su viaje hacia la ciudad de Pasto; prefiere vivir la aventura de manera directa utilizando sus propios medios.
En promedio cada turista permanece en la ciudad de Pasto 3,41 días. El 36,7% tiene una estadía en la ciudad hasta 2 días, el 62,2% se hospeda en viviendas de familiares o amigos y el 30,8% en hoteles y residencias. Entre los diferentes eventos culturales que componen el carnaval, el 18,5% de los turistas prefiere el Desfile Magno del 6 de enero por la imponencia de las carrozas, el 14,8% gustan de la Familia Castañeda, el 14,7% del Día de Negros y el 13,7% de los Colectivos Coreográficos programados el 3 de enero. La etapa de carnaval ocupa un 89,7% de la programación del carnaval en comparación con el 10,3% de la etapa de pre-carnaval donde sobresalen eventos como Arco iris en el Asfalto y el tradicional desfile de años viejos.
Tabla 2
Participación de los espectadores locales en los eventos del Carnaval

Fuente: Elaboración propia
Tabla 3
Participación de los visitantes nacionales y extranjeros en los eventos del Carnaval

Fuente: Elaboración propia
El carnaval contribuye a la expansión de la producción, y por ende, a la generación de riqueza en la ciudad de Pasto y en otras localidades específicas del Departamento de Nariño. El sector privado adquiere cada vez más relevancia en la gestión de la cultura, porque las inversiones culturales proporcionan riqueza y rentabilidad para las empresas interrelacionadas con el carnaval: transporte, hoteles, restaurantes, sector financiero, etcétera.
6. IMPORTANCIA ECONÓMICA DEL CARNAVAL: APLICACIÓN DEL MÉTODO DE VALORACIÓN CONTINGENTE (MVC).
Para la estimación de la disposición a pagar (DAP) se incluyó una pregunta en las encuestas relacionada con la cantidad máxima de dinero que tanto el residente local como el visitante nacional y extranjero estarían dispuestos a pagar por disfrutar de los eventos del carnaval –por ejemplo, por concepto de entrada a los desfiles- en el caso hipotético de que el carnaval no fuese gratuito, de acuerdo el nivel de satisfacción y sabiendo que este hecho contribuirá a la futura salvaguardia del carnaval como patrimonio cultural de la humanidad.
Con la inclusión de una pregunta de este tipo, se determina la disposición o disponibilidad a pagar (DAP), a través de la cual un espectador cultural expresa la cantidad máxima que pagaría por disfrutar del carnaval. Lo que se pretende es simular un mercado hipotético, donde el encuestador actúa como el oferente y el encuestado como el consumidor. Como existen personas dispuestas a no pagar ningún (0 = respuestas de protesta), la encuesta también indagó los motivos por los que no están dispuestas a pagar.
El 56,0% de los espectadores locales están dispuestos a pagar un valor monetario (valor hipotético) por disfrutar de los desfiles durante su estadía en la ciudad de Pasto, en cambio, el 44% no está dispuesto a pagar ninguna suma de dinero porque consideran que el carnaval es una festividad popular que debe ser financiada en su totalidad con recursos públicos. Un espectador local estaría dispuesto a pagar en promedio por desfile y/o evento cultural en el que participa la suma de $ 19.549, considerando que disfruta mucho de eventos como el carnavalito, colectivos coreográficos, la Familia Castañeda y el Desfile Magno. La mayor DAP la expresan mujeres, de estrato medio alto, jóvenes de edades entre 19 y 28 años, profesionales universitarios con postgrado y perceptores de renta mensual entre 4 y 5 SMMLV de 2017.
El Carnaval de Negros y Blancos es una festividad que despierta lealtad entre los participantes. El 93,7% de los visitantes estarían dispuestos a participar nuevamente en el carnaval. El 54,2% manifiesta su disposición a pagar por disfrutar de los desfiles y eventos culturales y el 45,8% expresa su negativa por las mismas razones expuestas en el párrafo anterior. Un visitante nacional y extranjero estaría dispuesto a pagar en promedio por desfile y/o evento cultural en el que participa la suma de $ 69.012, considerando que también se deleita de eventos como el carnavalito, colectivos coreográficos, la Familia Castañeda y el Desfile Magno. La mayor DAP la expresan mujeres, adultos mayores de edades entre 63 y 70 años, personas con estudios técnicos y tecnológicos, personas pensionadas y perceptores de renta mensual entre 13 y 14 SMMLV de 2017.
A partir de la aplicación de este método se concluye que el Carnaval de Negros y Blancos de Pasto en su versión 2017 es una inversión cultural rentable para la ciudad de Pasto, puesto amplia la producción, y por consiguiente, la riqueza de la ciudad de Pasto y es un generador de empleo. La planeación y organización del carnaval requirió una inversión de $ 6.159.438.072 y los espectadores culturales lo valoran en $ 14.318.520.000, es decir, los beneficios superan en 2,32 veces su costo. Por $1 invertido en la organización y ejecución del carnaval, éste genera $ 2,32 de beneficios.
Tabla 4
Valoración económica del Carnaval utilizando el Método de Valoración Contingente

Fuente: Elaboración propia
Los espectadores culturales expresan un alto valor y significancia por el carnaval. La mayoría no desea que este desaparezca; su disposición a pagar apunta más bien a la preservación y custodia de estas costumbres populares.
7. RESULTADOS
La estimación de la probabilidad de que un individuo participe o no en el Carnaval se hizo mediante el uso de modelos econométricos logit y probit estimados por máxima verosimilitud (EMV). Aunque se probó otras variables como el sexo y la procedencia, factores como la edad (años cumplidos), la educación (años de escolaridad terminados) y el nivel de renta (en miles de pesos COP), estas variable demostraron tener mayor significación estadística. Así pues, la probabilidad de participación en el Carnaval depende en forma inversa de la edad y, en forma directa, del nivel educativo y del ingreso personal. Por lo tanto, a menor edad la probabilidad de participar en el carnaval aumenta y viceversa; un mayor nivel educativo y un ingreso personal más elevado incrementan la probabilidad de participación y viceversa.
La estimación de los modelos en mención se hizo con Stata versión 12. Este software permite calcular directamente los efectos marginales o parciales de una variable explicativa continua (Xi) sobre la probabilidad de respuesta P(Y=1 ⃥X).
(4)
En este caso, se estiman los efectos marginales de la edad, la educación y la renta personal sobre la probabilidad de que un individuo participe como espectador cultural en el Carnaval de Negros y Blancos de Pasto.
Las estimaciones demuestran tener coeficientes con buena significancia estadística individual y conjunta, el Pseudo R2 de McFadden tiene una buena bondad de ajuste (33,9% para logit y 34,9% para probit). El porcentaje de predicciones correctas como porcentaje de veces en que el valor de Yi observado coincide con su predicción es de 92,8% para ambos modelos.
Tabla 5
Estimación de máxima verosimilitud: Logit y Probit

Fuente: Elaboración propia
Tabla 6
Estimación de efectos marginales: Logit y Probit

Fuente: Elaboración propia
Tabla 7
Estadísticos principales de las variables independientes

Fuente: Elaboración propia
El modelo logit estima que la probabilidad de que un individuo participe en el carnaval es de 96,5%. Al aumentar la edad de una persona en un año la probabilidad de participar en el carnaval se reduce en 0,11%, manteniendo fijas el resto de variables en su media (un año adicional de educación aumenta la probabilidad de participar en 1,37%, manteniendo fijas el resto de variables en su media y un aumento unitario ($ 1.000 COP) en el ingreso o renta personal hace que la probabilidad de participación se incremente en tan solo 0,003%, manteniendo constantes los demás factores en su media.

Dónde: Φ = Función de la distribución acumulada logística estándar Φ
El modelo probit estima que la probabilidad de que un individuo participe en el carnaval es de 97,0%. Al aumentar la edad de un espectador cultural en un año la probabilidad de participar en el carnaval se reduce en 0,13%, manteniendo constantes el resto de variables en su media; un año adicional de educación aumenta la probabilidad de participación en 1,64%, manteniendo fijas las demás variables en su media y un incremento unitario ($ 1.000 COP) en el ingreso personal hace que la probabilidad de participación aumente en 0,004%, ceteris paribus en su media.

Donde: Φ Función de distribución acumulada normal estándar
El factor más determinante en la participación de las personas en el carnaval es la educación (relación positiva), seguido de la edad (relación negativa). El nivel de ingreso personal tiene un bajo impacto, lo cual explica que esta festividad es eminentemente popular.
7. CONCLUSIONES
El Carnaval de Negros y Blancos de Pasto fomenta el turismo cultural y, a su vez, incrementa la producción de bienes y servicios relacionados con el ocio, la diversión y la cultura; además, ejerce un efecto multiplicador significativo sobre la economía de la ciudad de Pasto y de otras localidades con oferta turística conexa.
El Carnaval de Negros y Blancos de Pasto es un ícono cultural que se debe preservar y fortalecer día a día. Es indispensable el desarrollo de una política pública que integre actores públicos, privados y cultores del Carnaval, a través de la cual se canalice mayores recursos enfocados hacia la internacionalización de esta festividad. Así mismo, Corpocarnaval debe continuar incentivando la participación de nuevos espectadores, preferiblemente jóvenes, entre los cuales se debe incentivar una mayor afición por el Carnaval.
La participación en el Carnaval depende en forma inversa de la edad, y de manera directa, del nivel educativo y de la renta personal de los individuos. Los modelos econométricos logit y probit utilizados predicen una alta probabilidad de participación de 96,5% y 97,0%, respectivamente
La expresión “espectador cultural” se utiliza en este artículo para referirse tanto a las personas residentes en la ciudad de Pasto como a los visitantes nacionales y extranjeros que hacen uso (consumo) de los bienes y servicios que el carnaval ofrece, cuyo consumo genera satisfacción y bienestar individual y social. El espectador es un actor vivo que asiste y participa en los diferentes eventos del carnaval y se deleita de las costumbres tradicionales del pueblo pastuso, extendidas al departamento de Nariño y a la subregión del Alto Putumayo, Colombia.
Aunque tradicionalmente se conoce que el carnaval concluye el 6 de enero, dada la gran tradición del cuy como plato típico en el departamento de Nariño, esta festividad popular se extiende hasta el 7 de enero con la celebración del Festival del Cuy y la Cultura Campesina.
El consumo cultural representa uno de los múltiples empleos del ocio, dentro de una ética absolutamente hedonista de la sociedad contemporánea, que ha cambiado los valores de laboriosidad y producción típicos de la sociedad industrial del siglo XIX, por los del disfrute del ocio y tiempo libre. Además, el individuo moderno trata de sujetarse a los elementos de identidad cercanos en el tiempo y en el espacio, frente al desarraigo que impone el fenómeno de la globalización; y esta es la razón del interés inusitado por la historia, el patrimonio cultural y el auge de lo local y lo regional. (Herrero, 2001:152)
Referencias