contadores
Ir al menú de navegación principal Ir al contenido principal Ir al pie de página del sitio

Research Article

Vol. 37 Núm. 2 (2020): Revista de Ciencias Agrícolas - Segundo semestre, Julio - Diciembre 2020

Evaluation of pre-germination treatments in Carapa guianensis AUBL

DOI
https://doi.org/10.22267/rcia.203702.138
Enviado
diciembre 17, 2020
Publicado
2020-12-10

Resumen

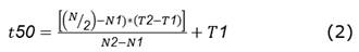
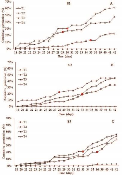
Understanding seed germination of native forest species of the Tropical wet forest is essential for ecosystem regeneration and conservation, which have been affected by the exploitation of wood and non-wood forest products. Carapa guianensis Aulb. (Meliaceae) has been exploited due to the high quality of its wood and seeds. Particularly, the latter is a source of a medicinal oil of high value to the pharmaceutical industry. The indiscriminate use of this species has reduced its population size; therefore, scientific knowledge of its sexual propagation in nurseries is vital. This research aimed to evaluate seed germination of C. guianensis under different pre-germination treatments and substrates at the Centro de Investigación El Mira of AGROSAVIA. Pre-germination assays were conducted in a split-plot design with a random distribution of four repetitions. The cumulative germination percentage (CGP) and mean germination time (t50) were calculated and analyzed through an ANOVA, and Tukey’s multiple comparison test using InfoStat V.2016. Significant differences for CGP among treatments (p<0.0001) and interactions (p<0.0096) were found. The highest germination percentage (61%) was achieved in S1+T4; however, the T50 did not show significant differences (p=0.24). This research demonstrates that the highest germination percentage is achieved through a scarification treatment with imbibition in sand substrate under the agroclimatic conditions of Tumaco.

 

Citas

  1. Abbade, L.; Takaki, M. (2014). Teste de tetrazólio para avaliação da qualidade de sementes de tabebuia roseoalba (ridl.) Sandwith - Bignoniaceae , submetidas ao armazenamiento. Revista Árvore, Viçosa-MG. 38(2): 233-240.
  2. Amaral, T.; Furtado, H.; Sousa, L.; Vilas, R.; Rodrigues, W.; Costa, M. da. (2017). Germinação de sementes e crescimento de mudas de andiroba (Carapa guianenses Aubl.) em diferentes substratos orgânicos. Brasil: XXX CBA Congreso Brasilero de Agronomia.
  3. Bewley J.D.; Bradford K.J.; Hilhorst H.W.M.; Nonogaki H. (2013). Seeds: Physiology of development, germination and dormancy (3rd edition). New York: Springer.
  4. Céspedes, K. (2018). Determinación de los patrones de tinción y efecto de la giberelina sobre la germinación de las semillas de caoba (Swietenia macrophylla) y guayacán amarillo (Handroanthus chrysanthus). Colombia: Universidad distrital Francisco José de Caldas.
  5. Ellis, R.H.; Roberts, E.H. (1978). Towards a rational basis for testing seed quality.. In: Hebblethwaite, P.D. pp: 605-636. (ed.). Seed Production. London: Butterworth.
  6. Espitia-Camacho, M.; Araméndiz-Tatis, H.; Cardona-Ayala, C. (2018). Biométricas del fruto y semillas en genetic parameters of fruit and seed biometric characteristics in Pachira aquatica Aubl. Rev. U.D.C.A. Act & Div. Cient. 21(1): 33-42. doi: https://doi.org/10.31910/rudca.v21.n1.2018.660
  7. García, G.; Camilo, B.; Quintero, L.; Guzmán, D. P.; Álvarez, J. (2019). Evaluación de la germinación de Aniba perutilis Hemsl. (Comino crespo), procedente del municipio de San Carlos (Antioquia), para el establecimiento de fuentes semilleras. Encuentro Sennova Del Oriente Antioqueño. 8-16.
  8. Gonçalves, H.; Alves, K.; Ferreira, M.; Carvalho, A.; Lameira, O. (2018). Fenologia reprodutiva de Carapa guianensis Aubl. no horto de plantas medicinais da embrapa amazônia oriental. Recovered from https://ainfo.cnptia.embrapa.br/digital/bitstream/item/192728/1/FENOLOGIA-REPRODUTIVA.pdf
  9. Guarino, E. D. S.; Gessner, C.; Oliveira, L. de; Lopes, F.; Raposo, A. (2014). Estrutura etária e espacial de uma população natural de Carapa guianensis Aubl. (Meliaceae) na Amazônia Sul Ocidental Age and spatial structure of Carapa guianensis Aubl. (Meliaceae) in southwestern Amazon. Scientia Forestal. 42(101): 91-99.
  10. Hernández-Coronado, A.; Rodríguez, A.; Candre, A.; Pinto, I.; Bernilla, A. (2018). Estudio de viabilidad y conservación de semillas de cinco especies vegetales amazónicas como base para la creación de un banco de germoplasma en el municipio de Leticia, Amazonas, Colombia. Revista del Instituto de Investigaciones de la Amazonía Peruana, 27(1): 9-23. doi: https://doi.org/10.24841/fa.v27i7.435
  11. ISTA - International Seed Testing Association. (2005). ISTA handbook on seed sampling (2nd ed.). Bassersdorf, Switzerland: ISTA.
  12. Kossmann, I.; Campana, J.; Barbosa, P. (2002). Sementes e plântulas de andiroba (Carapa guianensis AUBL. e Carapa procera D. C.): aspectos botânicos, ecológicos e tecnológicos. Acta. 32(4): 647-661.
  13. Leite, A.; Lima, K. (2018). Uso de óleo de andiroba (Carapa guianensis) na produção de velas artesanais como instrumento para o ensino de Química . Ex@tas Online. 9(2): 39-52.
  14. Lobo, L.; Furtado, A. (2015). The effect of light quality, temperature and substrate on seed germination and epicotyl development of Carapa guianensis, a multi-use neotropical tree. Journal of Medicinal Plants Research. 9(18): 582-593. doi: https://doi.org/10.5897/jmpr2014.5736
  15. May, T. (2016). Aspectos de sostenibilidad de productos no maderables forestales con uso curativo en el oeste de Pará , Brasil * Aspects of Sustainability of Non-timber Forest Products Used for Health in Western Pará , Brazil Aspects de la durabilité de produits forestie. Ambiente y Desarrollo. 20(38): 69-84. doi: https://doi.org/10.11144/Javeriana.ayd20-38.aspm
  16. Myers, R. L. (2013). Germinación de semillas y supervivencia de plántulas en pantanos dominados per yolillo Raphia taedigera (Arecaceae) en las Llanuras de Tortuguero, Costa Rica. Revista de Biología Tropical. 61(1): 47-66.
  17. Nascimento, G. O.; Souza, D. P.; Santos, A. S.; Batista, J. F.; Rathinasabapathi, B.; Gagliardi, P. R.; Gonçalves, J. F. C. (2019). Lipidomic profiles from seed oil of Carapa guianensis Aubl. and Carapa vasquezii Kenfack and implications for the control of phytopathogenic fungi. Industrial Crops and Products. 129(August 2018): 67–73. doi: https://doi.org/10.1016/j.indcrop.2018.11.069
  18. Palacios, W. A.; Jaramillo, N. (2016). Árboles amenazados del Chocó ecuatoriano. Avances en Ciencias e Ingeniería. 8(14): 51-60. doi: https://doi.org/10.18272/aci.v8i1.508
  19. Peixoto, A.; Braga, A.; Lima, R.; Sousa, N.; Fragoso, L.; Reis, M.; Cunha, W.; Pinheiro, A.; Resende, V.; Ferreira, C. (2019). Emergency and Growth of Andiroba Seedlings (Carapa guianensis Aubl.) in Function of the Seeds. Journal of Agricultural Science. 11(9): 293. doi: https://doi.org/10.5539/jas.v11n9p293
  20. Reis, J.; Lourenço, L.; Madeira, C.; Santos, J. Dos; Nascimiento, M. Do. (2018). Caracterização histoquímica de andiroba (Carapa guianensis aubl.), para fins fitoterápicos. Recovered from https://www.researchgate.net/publication/330907685_CARACTERIZACAO_HISTOQUIMICA_DE_ANDIROBA_CARAPA_GUIANENSIS_AUBL_PARA_FINS_FITOTERAPICOS
  21. Reyes, R.; Rodríguez, N.; Peña, E.; Bastidas S. (2008). Crecimiento en vivero de materiales comerciales de palma aceitera (Elaeis guineensis Jacq.) en Tumaco, Colombia. Corpoica Cienc Tecnol Agropecu. 9(2):12-18.
  22. Rojas, D. (2015). Árbol de comino (Aniba perutilis Hemsley) una planta maderable en peligro de extinción en el sur del departamento del Huila [Universidad Nacional Abierta y a Distancia UNAD]. Recovered from http://repositorio.unan.edu.ni/2986/1/5624.pdf
  23. Sánchez-Soto, B.; Pacheco-Aispuro, E.; Lugo-García, G.; Reyes-Olivas, Á.; García-Montoya, E. (2017). Scarification methods in seeds of Guaiacum coulteri, an endangered species that inhabits the tropical deciduous forest of northern Sinaloa, Mexico. Gayana Bot. 74(2): 262-268. doi: https://doi.org/10.4067/S0717-66432017000200262
  24. Sánchez, A.; Montejo, L.; Gamboa, A.; Albert-Puentes, D.; Hernández, F. (2015). Germinación y dormancia de arbustos y trepadoras del bosque siempreverde de la Sierra del Rosario, Cuba. Pastos y Forraje. 38(1): 11-28.
  25. Sanchez, J.; Pernus, M.; Torres-Arias, Y.; Barrios, D.; Dupuig, Y. (2019). Germination ecology of seeds the tropical and subtropical zones, Cuba View project Current and future potential distribution of the flora and fauna of Cuba: exploring the effects of climate change on terrestrial biota View project. Acta Botánica Cubana. 218(2): 77-108. doi: http://orcid.org/0000-0002-7118-8608
  26. Santiago, O.; Vargas, J.; Aldrete, A.; López, J.; Fierros, A. (2015). Sustratos y tamaños de contenedor en el desarrollo de Hevea brasiliensis Müll. Arg. en vivero. Revista Mexicana de Ciencias Forestales. 6(31): 94-113.
  27. Scarano, F. R.; Pereira, T. S.; Rôças, G. (2003). Seed germination during floatation and seedling growth of Carapa guianensis, a tree from flood-prone forests of the Amazon. Plant Ecology. 168(2): 291-296. doi: https://doi.org/10.1023/A:1024486715690
  28. Severino, L. S.; Dionízio, C. G.; Lucena, A. M. A. (2005). Seedling emergence and germination of castor seed planted in different positions. Revista de Biologia e Ciências da Terra. 5(1).
  29. Teixeira, M.; Cardoso, M.; Silva, J.; Araújo, B. De.; Sousa, T.; Piloni, M. (2019). Biometria de sementes de andiroba (Carapa guianensis e Carapa procera) de duas diferentes áreas. In: Carvalho, A. (Ed.), Ciências Agrárias: Campo Promissor em Pesquisa 2 pp. 56–61. Jardim Carvalho: Atena Editora. doi: https://doi.org/10.22533/at.ed.1601920068
  30. Theaux P.; Lucalioli V.; Kiehr M.; Marinangeli P. (2015). Influencia de la desinfección química de un sustrato con dicloropropneo + cloropicrina o con dazomet, sobre parametro de calidad de plantines de Primula acaulis. Bahía Blanca: Congreso Argentino de Horticultura.
  31. Torres, J.; Medina, H.; Pinilla, H.; Córdoba, E.; Martínez, M. (2017). Propagación en vivero de la especie forestal Dipteryx oleífera Benth. mediante semillas. Revista Politecnica. 13(24): 19-26.
  32. Vianna, N. (1982). Conservação de Sementes de Andiroba (Carapa guianensis AUBL.), Brasil: EMBRAPA-CPATU-Circular técnica.
  33. Villacorta, M. (2010). Ensayo de propagación y crecimiento inicial de Carapa guianensis en vivero, CIEFOR. Perú: Universidad nacional de la amazonia peruana.
  34. Villota, F. (2016). Propagación de Carapa amorphocarpa W. empleando diferentes tratamientos, en el noroccidente del Ecuador. Ecuador: Universidad Técnica del Norte.
  35. Viveros, H. V.; Diego, J.; Palmeros, H.; Valerio, M.; García, V.; Silva, R. R.; Montiel, C. R., Rentería, A. A.; Jesús, M. De.; Hernández, M.; Hernández, J.; Luisa, M.; Hernández, H. (2015). Analisis de semilla, tratamientos pregerminativos de Enterolobium cyclocarpum ( Jacq.) Griseb. y su crecimiento inicial. Revista Mexicana de Ciencias Forestales. 6(30): 52-65.

Descargas

Los datos de descargas todavía no están disponibles.