contadores
Ir al menú de navegación principal Ir al contenido principal Ir al pie de página del sitio

Research Article

Vol. 37 Núm. 2 (2020): Revista de Ciencias Agrícolas - Segundo semestre, Julio - Diciembre 2020

Simultaneous selection indices for yield and stability in sugarcane

DOI
https://doi.org/10.22267/rcia.203702.139
Enviado
julio 12, 2019
Publicado
2021-02-25

Resumen

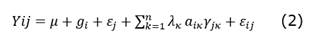
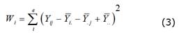
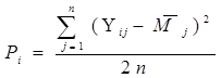
In Venezuela, sugarcane is grown in distinct environments, including soil categories and cultural practices. This research aimed to identify high-yield and stable sugarcane (Saccharum spp., hybrid) genotypes using selection indices. The experimental material consisted of sixteen genotypes and two commercial varieties as control. The genotypes were evaluated in five locations and by two harvest cycles. The yield in Ton Pol per hectare (TPH) was subjected to an analysis of variance according to the AMMI model. Methodologies of adaptability, stability, and indices that combine both stability and yield were determined. It was possible to distinguish the indices in three groups in the biplot. The superiority index (Pi), geometric adaptability index (GEI), and reliability index (Ii) were located in group 1 (G1). This group coincided in classifying genotypes CR87-339, C323-68, and V98-76 as the most stable and the best yield. The second group (G2) consisted of Kang's rank-sum (RS), Stability index (I), Sustainability index (SI), and geometric adaptability index (GDI) and located the genotypes CR87-339 and C323-68 as the most desired. The third group (G3) was constituted by the Ecovalence statistics (W), Shukla’s unbiased stability variance (σ2i) and the AMMI value (ASV) and classified the genotypes CP87-1762, V90-6 and CP 92-1641 as the best. The indices that best discriminated the genotypes and most associated with yield were PI, GAI and Ii.

Citas

  1. Annicchiarico, P. (2002). Defining strategies and yield stability targets in breeding programs, in MS Kang, (E d.). Quantitative Genetics, Genomics and PlantBreeding (pp.365-383). Wallingford, England: CABI.
  2. Babarmanzoor, A.; Tariq M. S.; Ghulam A.; Muhammad, A. (2009). Genotype × environment interaction for seed yield in Kabuli Chickpea (Cicer arietinumL.) genotypes developed through mutation breeding. Pakistan Journal of Botany. 41(4): 1883-1890.
  3. Bajpai, P. K.; Prabhaaran, V. T. (2000). A new procedure of simultaneous selection for high yielding and stable crop genotypes. Indian Journal of genetics & Plant Breeding. 60(2):141-146.
  4. Becker, H. C.; Leon, J. (1988). Stability analysis in plant breeding. Plant Breeding. 101: 1-23.
  5. Crossa, J.; Yang, C.; Cornelius, P. L. (2004). Studying crossover genotype × environment interaction using linear-bilinear models and mixed models. Journal of Agricultural, Biological and Environmental Statistics. 9(3): 362-380.
  6. Eberhart, SA.; Russell, WA. (1966). Stability parameters for comparing varieties. Crop Science. 6(1): 36-40. doi: 10.2135/ cropsci1966.0011183X000600010011x
  7. Farshadfar, E. (2008). Incorporation of AMMI stability value and grain yield in a single non parametric index (GSI) in bread wheat. Pakistan Journal of Biological Sciences, 11 (14): 1791-1796. doi:10.3923 / pjbs.2008.1791.1796
  8. Farshadfar, E.; Mahmodi, N.; Yaghotipoor, A. (2011). AMMI stability value and simultaneous estimation of yield and yield stability in bread wheat (Triticum aestivum L.) Australian Journal of Crop Science. 5(13): 1837-1844.
  9. Gómez-Becerra, H.F.; Morgounov, A.; Abugalieva, A. (2007). Evaluation of grain yield stability, reliability and cultivate recommendations in spring wheat (Triticum aestivum l.) From Kazakhstan and Siberia. Journal of Central European Agriculture. 7(4): 649-660.
  10. Kang, M.S.; Pham, HN (1991). Simultaneous selection for high yielding and stable crop genotypes. Agronomy Journal. 83(1):161-165. doi: 10.2134/agronj1989.00021962008100040020x
  11. Kilic, H.; Akura, M.; Aktas, H. (2010). Assessment of parametric and non-parametric methods for selecting stable and adapted durum wheat genotypes in multi-environments. Notulae Botanicae Hortic Agrobotanici Cluj. 38(3):271-279.
  12. Koli, N.; Prakash, C. (2013). Sustainability index as an aid for determination of genotypic stability in aromatic rice (Oryza sativa L.) under transplanted condition in south-eastern plain zone of Rajasthan. Journal of Rice Research. 6(1): 1-6.
  13. Lin, C.S.; Binns, MR (1988). A superiority measure of cultivating performance for cultivating x location data, Canadian Journal of Plant Science. 68(1): 193-198. doi: https://doi.org/10.4141/cjps88-018
  14. Lin, C.S.; Binns, M.R.; Lefkovitch, L. P. (1986). Stability analysis: where do we stand? Crop Science. 26(5): 894-900. doi: 10.2135/ cropsci1986.0011183X002600050012x
  15. Mohammadi, R.; Amri, A. (2008). Comparison of parametric and non-parametric methods for selecting stable and adapted durum wheat genotypes in variable environments. Euphytica. 159(3): 419-432. doi: https://doi.org/10.1007/s10681-007-9600-6
  16. Pérez-Guerra, E.; Oliveira, R.; Daros, E.; Zumbón, J.; Ido, O.; Bespalhok Filho, J. (2009). Stability and adaptability of early maturing sugarcane clones by AMMI analysis. Crop Breeding and Applied Biotechnology. 9: 260-267. doi: 10.12702/1984-7033.v09n03a08
  17. Pourdad, S.S. (2011). Repeatability and relationships among parametric and non-parametric yield stability measures in safflower (Carthamus tinctorius L.) genotypes. Crop Breeding Journal. 1(2): 109-118.
  18. Purchase, J.L.; Hatting, H.; Van Deventer, C.S. (2000). Genotype x environment interaction of wheat in South Africa: Stability analysis of yield performance. South African Journal of Plant and Soil. 17(3): 101-107. https://doi.org/10.1080/02571862.2000.10634878
  19. Rao, A.R.; Prabhakaran, V.T. (2005). Use of AMMI in simultaneous selection of genotypes for yield and stability. Journal of the Indian Society of Agricultural Statistics. 59(1): 76-82.
  20. Rea, R.; De Sousa-Vieira, O.; Ramón, M.; Alejos, G.; Díaz, A.; George, J. (2014). Selección simultánea para rendimiento y estabilidad en genotipos de caña de azúcar en la región centro-occidental de Venezuela. Bioagro. 26(3): 153-158.
  21. Rea, R.; De Sousa-Vieira, O.; Díaz, A.; Ramón, M.; Briceño, R.; George, J.; Demey, J. (2015). Assessment of yield stability in sugarcane genotypes using non-parametric methods. Agronomía Colombiana. 33(2): 131-138. doi: https://doi.org/10.15446/agron.colomb.v33n2.49324
  22. Scortecci, K. C.; Creste, S.; Calsa Jr, T.; Xavier, M. A.; Landell, M. G. de A.; Figueira, A. V. de O.; Benedito, V. A. (2012). Chapter 12 Challenges, opportunities and recent advances in sugarcane breeding. In Plant breeding. Rijeka: InTech.
  23. Shukla, GK (1972). Some statistical aspects of partitioning genotype-environmental components of variability. Heredity. 29(2): 237-245. doi: https://doi.org/10.1038/hdy.1972.87
  24. Wricke, G. (1962). On a method of understanding the biological diversity in field research. Zeitschrift für Pflanzenzucht. 47(1): 92-96.

Descargas

Los datos de descargas todavía no están disponibles.